- Home
- CONTACT US
- GLOBAL NETWORK
- BRAND & PRODUCTS
- Active Menu Label
- BCAA Calculator
- Taste & Nutrition
- TasteNrich SOLUTION
- TasteNrich INNO HMMA
- TasteNrich INNO MASKER
- FlavorNrich
- BiomeNrich
- AMINATURE
- CJ TIDE
- MIPOONG
- Animal Nutrition
- BestAmino
- BestAmino REQ
- BestAmino RQ
- Select Growth Stage
- Summary 7-11kg
- Summary 11-25kg
- Summary 25-50kg
- Summary 50-75kg
- Summary 75-100kg
- Summary 100-135kg
- In Detail
- Product Description
- Results Overview
- ADG Results Overview
- ADG Summary 7-11kg
- ADG Summary 11-25kg
- ADG Summary 25-50kg
- ADG Summary 50-75kg
- ADG Summary 75-100kg
- ADG Summary 100-135kg
- ADG Result Overview
- ADG Portfolio
- SOYTIDE
- X•SOY
- NUCLEOTIDES
- BIOTECTOR
- Plant Nutrition
- BIOLOGICAL CONTROL&INOCULANT
- AMIBOOST & FERAMI
- Biomaterials
- CJ PHACT
- Active Child Menu Label
- Active Menu Label
- NEWS
- CJ BIO
- INSIGHT
- TECHNOLOGY
For Swine | Average Daily Gain
Lys : ME Requirement for Weanling pigs (7-11 kg)
Study Result Summary
Lys requirement from Study Result :
- For weanling pigs (7-11 kg), the Lys:ME range for optimal average daily gain (ADG) performance is from 3.971 (min., NRC) to 4.910 (max., CLP & QUAD).
CLP & QUAD
4.910LP
4.156CJ Recommendation
Lys requirement from CJ BIO:
- For the best growth performance in 7-11 kg pigs, CJ BIO recommend 4.533 as the optimal requirement for Lys:ME.
- You may expect a 7.5% improvement in ADG performance compared to when using the NRC requirement.
- Lysine data has been calculated based on both ME and NE values, with units expressed in g/Mcal.
- For standard rearing conditions, we recommend using LP-based requirements. In harsher environments, CLP or QUAD values may be more appropriate.
- CJ’s recommendations are based on the average of the LP and CLP models, providing a balanced guideline suitable for a wide range of production systems.
- Correia, A M et al. "Temporary reduction of digestible lysine in nursery pig diets: performance and economic analysis." Revista Brasileira de Saúde e Produção Animal vol. 23 (2022). doi: 10.1590/s1519-994020222025
- Gomes, M S et al. "Effects of glutamine and glutamate on nursery piglets fed diets with different digestible lysine content." SEMINA: Ciencias Agrarias vol. 42,6 (2021): 3919-3930. doi: 10.5433/1679-0359.2021v42n6Supl2p3919
- Jasper, Jessica E et al. "Increasing the ratio of SID lysine to metabolizable energy improves pig performance during a viral challenge." Journal of animal science vol. 98,4 (2020): skaa082. doi: 10.1093/jas/skaa082
- Palencia, Jorge Y P et al. "Relative bioavailability of l-lysine sulfate is equivalent to that of l-lysine HCl for nursery piglets." Journal of animal science vol. 97,1 (2019): 269-278. doi: 10.1093/jas/sky394
- Kahindi, R K et al. "Dietary lysine requirement for 7-16 kg pigs fed wheat-corn-soybean meal-based diets." Journal of animal physiology and animal nutrition vol. 101,1 (2017): 22-29. doi: 10.1111/jpn.12491
- Park, C. S. & Kim, B. G. "Standardized Ileal Digestible Lysine Requirement of 6- to 10-kg Weanling Pigs." American Journal of Animal and Veterinary Sciences 10(3) (2015): 150-155. doi: 10.3844/ajavsp.2015.150.155
- Kahindi, R K et al. "Short communication: Effect of dietary lysine content and sanitation conditions on performance of weaned pigs fed antibiotic-free diets." Canadian Journal of Animal Science 94(1) (2014): 115-118. doi: 10.4141/cjas2013-016
- Nemechek, J E et al. "Evaluation of standardized ileal digestible lysine requirement of nursery pigs from seven to fourteen kilograms." Journal of animal science vol. 90, 12 (2012): 4380-90. doi: 10.2527/jas.2012-5131
- Schneider, J D et al. "Determining the effect of lysine:calorie ratio on growth performance of ten- to twenty-kilogram of body weight nursery pigs of two different genotypes." Journal of animal science vol. 88,1 (2010): 137-46. doi: 10.2527/jas.2008-1204
Lys : NE Requirement for Weanling pigs (7-11 kg)
Study Result Summary
Lys requirement from Study Result :
- For weanling pigs (7-11 kg), the Lys:NE range for optimal average daily gain (ADG) performance is from 5.515 (min., NRC) to 7.763 (max., CLP & QUAD).
CLP & QUAD
7.763LP
5.717CJ Recommendation
Lys requirement from CJ BIO:
- For the best growth performance in 7-11 kg pigs, CJ BIO recommend 6.740 as the optimal requirement for Lys:NE.
- You may expect a 13.6% improvement in ADG performance compared to when using the NRC requirement.
- Lysine data has been calculated based on both ME and NE values, with units expressed in g/Mcal.
- For standard rearing conditions, we recommend using LP-based requirements. In harsher environments, CLP or QUAD values may be more appropriate.
- CJ’s recommendations are based on the average of the LP and CLP models, providing a balanced guideline suitable for a wide range of production systems.
- Jasper, J. E. et al. "Increasing the ratio of SID lysine to metabolizable energy improves pig performance during a viral challenge." Journal of Animal Science vol. 98, no. 4 (2020): skaa082. doi: 10.1093/jas/skaa082
- Kahindi, R. et al. "Dietary lysine requirement for 7-16 kg pigs fed wheat-corn-soybean meal-based diets." Journal of Animal Physiology and Animal Nutrition vol. 101 (2016): n/a–n/a. doi: 10.1111/jpn.12491
- Kahindi, R. K. et al. "Short Communication: Effect of dietary lysine content and sanitation conditions on performance of weaned pigs fed antibiotic-free diets." Canadian Journal of Animal Science vol. 94, no. 1 (2014): 115–118. doi: 10.4141/cjas2013-016
Met : SID % Lys Requirement for Weanling pigs (7-11 kg)
Study Result Summary
Met requirement from Study Result :
- For weanling pigs (7-11 kg), the Met:SID Lys range for optimal average daily gain (ADG) performance is from 0.289 (min., NRC) to 0.406 (max., QUAD).
QUAD
0.405CLP
0.406LP
0.333CJ
0.369NRC
0.289CJ Recommendation
Met requirement from CJ BIO:
- For the best growth performance in 7-11 kg pigs, CJ BIO recommend 0.369 as the optimal requirement for Met:SID Lys.
- You may expect a 9.3% improvement in ADG performance compared to when using the NRC requirement.
Diff. CJ-NRC
Met:SID Lys ratio 0.080
Growth Perf. 9.3%
- For standard rearing conditions, we recommend using LP-based requirements. In harsher environments, CLP or QUAD values may be more appropriate.
- CJ’s recommendations are based on the average of the LP and CLP models, providing a balanced guideline suitable for a wide range of production systems.
- Kahindi, Roseline K. et al. "Growth performance and expression of genes encoding enzymes involved in methionine and cysteine metabolism in piglets fed increasing sulphur amino acid to lysine ratio during enterotoxigenic Escherichia coli challenge." Canadian Journal of Animal Science vol. 98,2 (2018): 333-340. doi: 10.1139/cjas-2017-0027
- Zong, Enyan et al. "The effects of dietary sulfur amino acids on growth performance, intestinal morphology, enzyme activity, and nutrient transporters in weaning piglets." Journal of animal science vol. 96,3 (2018): 1130-1139. doi: 10.1093/jas/skx003
- Capozzalo, M M et al. "Determination of the optimum standardised ileal digestible sulphur amino acids to lysine ratio in weaned pigs challenged with enterotoxigenic Escherichia coli." Animal Feed Science and Technology vol. 227 (2017): 118-130. doi: 10.1016/j.anifeedsci.2017.03.004
- Kahindi, Roselyn et al. "Optimal sulfur amino acid to lysine ratio for post weaning piglets reared under clean or unclean sanitary conditions." Animal nutrition (Zhongguo xu mu shou yi xue hui) vol. 3,4 (2017): 380-385. doi: 10.1016/j.aninu.2017.08.004
- Chen, Ying et al. "L-methionine supplementation maintains the integrity and barrier function of the small-intestinal mucosa in post-weaning piglets." Amino acids vol. 46,4 (2014): 1131-42. doi: 10.1007/s00726-014-1675-5
SAA (Met+Cys) : SID % Lys Requirement for Weanling pigs (7-11 kg)
Study Result Summary
SAA requirement from Study Result :
- For weanling pigs (7-11 kg), the SAA:SID Lys range for optimal average daily gain (ADG) performance is from 0.548 (min., NRC) to 0.599 (max., CLP & QUAD).
QUAD
0.599CLP
0.585LP
0.579CJ
0.582NRC
0.548CJ Recommendation
SAA requirement from CJ BIO:
- For the best growth performance in 7-11 kg pigs, CJ BIO recommend 0.582 as the optimal requirement for SAA:SID Lys.
- You may expect a 13.4% improvement in ADG performance compared to when using the NRC requirement.
Diff. CJ-NRC
SAA:SID Lys ratio 0.034
Growth Perf. 13.4%
- For standard rearing conditions, we recommend using LP-based requirements. In harsher environments, CLP or QUAD values may be more appropriate.
- CJ’s recommendations are based on the average of the LP and CLP models, providing a balanced guideline suitable for a wide range of production systems.
- Kahindi, Roseline K. et al. "Growth performance and expression of genes encoding enzymes involved in methionine and cysteine metabolism in piglets fed increasing sulphur amino acid to lysine ratio during enterotoxigenic Escherichia coli challenge." Canadian Journal of Animal Science vol. 98,2 (2018): 333-340. doi: 10.1139/cjas-2017-0027
- Zong, Enyan et al. "The effects of dietary sulfur amino acids on growth performance, intestinal morphology, enzyme activity, and nutrient transporters in weaning piglets." Journal of animal science vol. 96,3 (2018): 1130-1139. doi: 10.1093/jas/skx003
- Capozzalo, M M et al. "Determination of the optimum standardised ileal digestible sulphur amino acids to lysine ratio in weaned pigs challenged with enterotoxigenic Escherichia coli." Animal Feed Science and Technology vol. 227 (2017): 118-130. doi: 10.1016/j.anifeedsci.2017.03.004
- Capozzalo, M M et al. "Pigs experimentally infected with an enterotoxigenic strain of Escherichia coli have improved feed efficiency and indicators of inflammation with dietary supplementation of tryptophan and methionine in the immediate post-weaning period." Animal Production Science vol. 57,5 (2017): 935-947. doi: 10.1071/AN15289
- Kahindi, Roselyn et al. "Optimal sulfur amino acid to lysine ratio for post weaning piglets reared under clean or unclean sanitary conditions." Animal nutrition (Zhongguo xu mu shou yi xue hui) vol. 3,4 (2017): 380-385. doi: 10.1016/j.aninu.2017.08.004
- Chen, Ying et al. "L-methionine supplementation maintains the integrity and barrier function of the small-intestinal mucosa in post-weaning piglets." Amino acids vol. 46,4 (2014): 1131-42. doi: 10.1007/s00726-014-1675-5
Trp : SID % Lys Requirement for Weanling pigs (7-11 kg)
Study Result Summary
Trp requirement from Study Result :
- For weanling pigs (7-11 kg), the Trp:SID Lys range for optimal average daily gain (ADG) performance is from 0.163 (min., NRC) to 0.228 (max., CLP & QUAD).
CLP & QUAD
0.228LP
0.208CJ
0.218NRC
0.163CJ Recommendation
Trp requirement from CJ BIO:
- >For the best growth performance in 7-11 kg pigs, CJ BIO recommend 0.218 as the optimal requirement for Trp:SID Lys.
- You may expect a 23.6% improvement in ADG performance compared to when using the NRC requirement.
Diff. CJ-NRC
Trp:SID Lys ratio 0.055
Growth Perf. 23.6%
- For standard rearing conditions, we recommend using LP-based requirements. In harsher environments, CLP or QUAD values may be more appropriate.
- CJ’s recommendations are based on the average of the LP and CLP models, providing a balanced guideline suitable for a wide range of production systems.
- Ma, Wenfeng et al. "Standardized ileal digestible tryptophan to lysine ratios affect performance and regulate intestinal mRNA expression of amino acid transporters in weaning pigs fed a low crude protein diet." Animal Feed Science and Technology vol. 275 (2021): 114857. doi: 10.1016/j.anifeedsci.2021.114857
- Capozzalo, M M et al. "Estimating the standardised ileal digestible tryptophan requirement of pigs kept under commercial conditions in the immediate post-weaning period." Animal Feed Science and Technology vol. 259 (2020): 114342. doi: 10.1016/j.anifeedsci.2019.114342
- Jayaraman, Balachandar et al. "Effects of dietary standardized ileal digestible tryptophan:lysine ratio on performance, plasma urea nitrogen, ileal histomorphology and immune responses in weaned pigs challenged with Escherichia coli K88." Livestock Science vol. 203 (2017): 114-119. doi: 10.1016/j.livsci.2017.07.014
- Jayaraman, Balachandar et al. "Effects of different dietary tryptophan : lysine ratios and sanitary conditions on growth performance, plasma urea nitrogen, serum haptoglobin and ileal histomorphology of weaned pigs." Animal science journal = Nihon chikusan Gakkaiho vol. 88,5 (2017): 763-771. doi: 10.1111/asj.12695
- Capozzalo, M M et al. "Pigs experimentally infected with an enterotoxigenic strain of Escherichia coli have improved feed efficiency and indicators of inflammation with dietary supplementation of tryptophan and methionine in the immediate post-weaning period." Animal Production Science vol. 57,5 (2016). doi: 10.1071/AN15289
- Capozzalo, M M et al. "Effect of increasing the dietary tryptophan to lysine ratio on plasma levels of tryptophan, kynurenine and urea and on production traits in weaner pigs experimentally infected with an enterotoxigenic strain of Escherichia coli." Archives of animal nutrition vol. 69,1 (2015): 17-29. doi: 10.1080/1745039X.2014.995972
- Gonçalves, M A D et al. "Effects of standardized ileal digestible tryptophan: lysine ratio on growth performance of nursery pigs." Journal of animal science vol. 93,8 (2015): 3909-18. doi: 10.2527/jas.2015-9083
- Nørgaard, J V et al. "Optimum standardized ileal digestible tryptophan to lysine ratio for pigs weighing 7–14 kg." Livestock Science vol. 175 (2015): 90-95. doi: 10.1016/j.livsci.2015.02.012
- Borgesa, G et al. "Optimum ratio of standardized ileal digestible tryptophan to lysine for piglets." Journal of Animal and Feed Sciences vol. 22,4 (2013): 323-328. doi: 10.22358/jafs/65920/2013
- Capozzalo, M M et al. "An increased ratio of dietary tryptophan to lysine improves feed efficiency and elevates plasma tryptophan and kynurenine in the absence of antimicrobials and regardless of infection with enterotoxigenic Escherichia coli in weaned pigs." Journal of animal science vol. 90 Suppl 4 (2012): 191-3. doi: 10.2527/jas.53900
- Le Floc'h, N et al. "A moderate inflammation caused by the deterioration of housing conditions modifies Trp metabolism but not Trp requirement for growth of post-weaned piglets." Animal : an international journal of animal bioscience vol. 4,11 (2010): 1891-8. doi: 10.1017/S1751731110000236
- Trevisi, P et al. "Healthy newly weaned pigs require more tryptophan to maximize feed intake if they are susceptible to Escherichia coli K88." Livestock Science vol. 134,1-3 (2010): 236-238. doi: 10.1016/j.livsci.2010.06.151
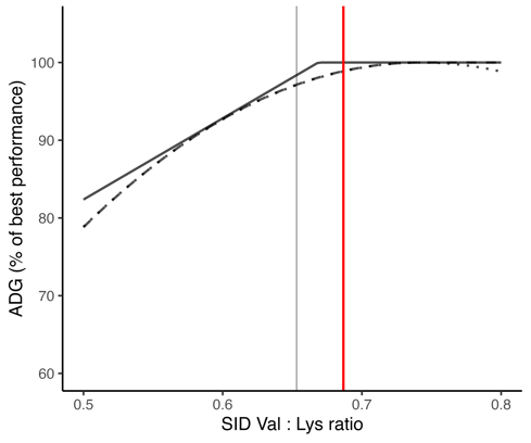
Val : SID % LysRequirement for Weanling pigs (7-11 kg)
Study Result Summary
Val requirement from Study Result :
- For weanling pigs (7-11 kg), the Val:SID Lys range for optimal average daily gain (ADG) performance is from 0.637 (min., NRC) to 0.722 (max., CLP).
QUAD
0.721CLP
0.722LP
0.672CJ
0.697NRC
0.637CJ Recommendation
Val requirement from CJ BIO:
- For the best growth performance in 7-11 kg pigs, CJ BIO recommend 0.697 as the optimal requirement for Val:SID Lys.
- You may expect a 10.5% improvement in ADG performance compared to when using the NRC requirement.
Diff. CJ-NRC
Val:SID Lys ratio 0.060
Growth Perf. 10.5%
- For standard rearing conditions, we recommend using LP-based requirements. In harsher environments, CLP or QUAD values may be more appropriate.
- CJ’s recommendations are based on the average of the LP and CLP models, providing a balanced guideline suitable for a wide range of production systems.
- Goodarzi, Parniyan et al. “Dietary Isoleucine and Valine: Effects on Lipid Metabolism and Ureagenesis in Pigs Fed with Protein Restricted Diets.” Metabolites vol. 13,1 89. 5 Jan. 2023, doi:10.3390/metabo13010089
- Goodarzi, Parniyan et al. “Effect of Isoleucine and Added Valine on Performance, Nutrients Digestibility and Gut Microbiota Composition of Pigs Fed with Very Low Protein Diets.” International journal of molecular sciences vol. 23,23 14886. 28 Nov. 2022, doi:10.3390/ijms232314886
- Habibi, Mohammad et al. “A Mixture of Valine and Isoleucine Restores the Growth of Protein-Restricted Pigs Likely through Improved Gut Development, Hepatic IGF-1 Pathway, and Plasma Metabolomic Profile.” International journal of molecular sciences vol. 23,6 3300. 18 Mar. 2022, doi:10.3390/ijms23063300
- Siebert, Diana et al. “The Optimal Valine to Lysine Ratio for Performance Parameters in Weaned Piglets.” Animals : an open access journal from MDPI vol. 11,5 1255. 27 Apr. 2021, doi:10.3390/ani11051255
- Millet, Sam et al. "Standardized ileal digestible lysine and valine-to-lysine requirements for optimal performance of 4 to 9-week-old Piétrain cross piglets." Livestock Science vol. 241 (2020): 104263. doi:10.1016/j.livsci.2020.104263
- Oliveira, Maryane S F et al. “Bioavailability of valine in spray-dried L-valine biomass is not different from that in crystalline L-valine when fed to weanling pigs1.” Journal of animal science vol. 97,10 (2019): 4227-4234. doi:10.1093/jas/skz275
- Xu, Ye Tong et al. “Effects of dietary valine:lysine ratio on the performance, amino acid composition of tissues and mRNA expression of genes involved in branched-chain amino acid metabolism of weaned piglets.” Asian-Australasian journal of animal sciences vol. 31,1 (2018): 106-115. doi:10.5713/ajas.17.0148
- Clark, A B et al. “Modeling the effects of standardized ileal digestible valine to lysine ratio on growth performance of nursery pigs.” Translational animal science vol. 1,4 448-457. 1 Dec. 2017, doi:10.2527/tas2017.0049
- Soumeh, E A et al. “Requirement of standardized ileal digestible valine to lysine ratio for 8- to 14-kg pigs.” Animal : an international journal of animal bioscience vol. 9,8 (2015): 1312-8. doi:10.1017/S1751731115000695
- Nemechek, J E et al. “Evaluation of standardized ileal digestible valine:lysine, total lysine:crude protein, and replacing fish meal, meat and bone meal, and poultry byproduct meal with crystalline amino acids on growth performance of nursery pigs from seven to twelve kilograms.” Journal of animal science vol. 92,4 (2014): 1548-61. doi:10.2527/jas.2013-6322
- Millet, Sam. “The Interaction Between Dietary Valine and Tryptophan Content and Their Effect on the Performance of Piglets.” Animals : an open access journal from MDPI vol. 2,1 76-84. 22 Feb. 2012, doi:10.3390/ani2010076
- Barea, R et al. “The standardized ileal digestible valine-to-lysine requirement ratio is at least seventy percent in postweaned piglets.” Journal of animal science vol. 87,3 (2009): 935-47. doi:10.2527/jas.2008-1006
- Nørgaard, J V and Fernández, J A. "Isoleucine and valine supplementation of crude protein-reduced diets for pigs aged 5–8 weeks." Animal Feed Science and Technology vol. 154, 3-4 (2009): 248-253. doi:10.1016/j.anifeedsci.2009.08.010
- Wiltafsky, M K et al. “Estimates of the optimum dietary ratio of standardized ileal digestible valine to lysine for eight to twenty-five kilograms of body weight pigs.” Journal of animal science vol. 87,8 (2009): 2544-53. doi:10.2527/jas.2008-1221
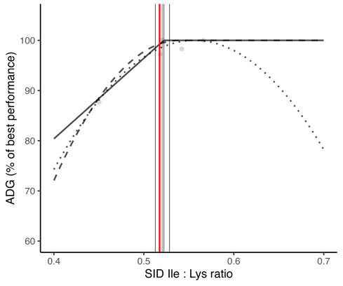
Ile: SID % LysRequirement for Weanling pigs (7-11 kg)
Study Result Summary
Ile requirement from Study Result :
- For weanling pigs (7-11 kg), the Ile:SID Lys range for optimal average daily gain (ADG) performance is from 0.511 (min., NRC) to 0.678 (max., CLP & QUAD).
CLP & QUAD
0.678LP
0.584CJ
0.631NRC
0.511CJ Recommendation
Ile requirement from CJ BIO:
- For the best growth performance in 7-11 kg pigs, CJ BIO recommend 0.631 as the optimal requirement for Ile:SID Lys.
- You may expect a 7.0% improvement in ADG performance compared to when using the NRC requirement.
Diff. CJ-NRC
Val:SID Lys ratio 0.120
Growth Perf. 7.0%
- For standard rearing conditions, we recommend using LP-based requirements. In harsher environments, CLP or QUAD values may be more appropriate.
- CJ’s recommendations are based on the average of the LP and CLP models, providing a balanced guideline suitable for a wide range of production systems.
Lys : ME Requirement for Weanling pigs (11-25 kg)
Study Result Summary
Lys requirement from Study Result :
- For weanling pigs (11-25 kg), the Lys:ME range for optimal average daily gain (ADG) performance is from 3.672 (min., NRC) to 4.205 (max., QUAD).
QUAD
4.205CLP
4.165LP
3.691CJ Recommendation
Lys requirement from CJ BIO:
- For the best growth performance in 11-25 kg pigs, CJ BIO recommend 3.928 as the optimal requirement for Lys:ME.
- You may expect a 4.5% improvement in ADG performance compared to when using the NRC requirement.
- Lysine data has been calculated based on both ME and NE values, with units expressed in g/Mcal.
- For standard rearing conditions, we recommend using LP-based requirements. In harsher environments, CLP or QUAD values may be more appropriate.
- CJ’s recommendations are based on the average of the LP and CLP models, providing a balanced guideline suitable for a wide range of production systems.
- Ao, X. et al. "Effect of dietary standardized ileal digestible lysine and copper density on growth performance, nutrient digestibility, blood profiles, fecal microbiota, backfat thickness and lean meat percentage in growing pigs." Livestock Science vol. 225 (2019): 96–102. doi: 10.1016/j.livsci.2019.05.012
- Colina, J. J. et al. "Utilization of crystalline or protein-bound lysine for growth and carcass traits of barrows and gilts fed individually or in groups." Journal of Animal Science vol. 91, no. 8 (2013): 3780–3787. doi: 10.2527/jas.2012-5995
- Hu, X. et al. "Effects of Dietary Lysine Levels on Growth Performance, Nutrient Digestibility, Serum Metabolites, and Meat Quality of Baqing Pigs." Animals vol. 12, no. 15 (2022): 1884. doi: 10.3390/ani12151884
- Jasper, J. E. et al. "Increasing the ratio of SID lysine to metabolizable energy improves pig performance during a viral challenge." Journal of Animal Science vol. 98, no. 4 (2020). doi: 10.1093/jas/skaa082
- Kahindi, R. et al. "Dietary lysine requirement for 7–16 kg pigs fed wheat-corn-soybean meal-based diets." Journal of Animal Physiology and Animal Nutrition vol. 101 (2016): n/a–n/a. doi: 10.1111/jpn.12491
- Kahindi, R. K. et al. "Short Communication: Effect of dietary lysine content and sanitation conditions on performance of weaned pigs fed antibiotic-free diets." Canadian Journal of Animal Science vol. 94, no. 1 (2014): 115–118. doi: 10.4141/cjas2013-016
- Nemechek, J. E. et al. "Evaluation of standardized ileal digestible lysine requirement of nursery pigs from seven to fourteen kilograms." Journal of Animal Science vol. 90, no. 12 (2012): 4380–4390. doi: 10.2527/jas.2012-5131
- Schneider, J. D. et al. "Determining the effect of lysine:calorie ratio on growth performance of ten- to twenty-kilogram of body weight nursery pigs of two different genotypes." Journal of Animal Science vol. 88, no. 1 (2010): 137–146. doi: 10.2527/jas.2008-1204
- Schweer, W. P. et al. "Increased lysine:metabolizable energy ratio improves grower pig performance during a porcine reproductive and respiratory syndrome virus challenge." Translational Animal Science vol. 3, no. 1 (2018): 393–407. doi: 10.1093/tas/txy108
Lys : NE Requirement for Weanling pigs (11-25 kg)
Study Result Summary
Lys requirement from Study Result :
- For weanling pigs (11-25 kg), the Lys:NE range for optimal average daily gain (ADG) performance is from 5.100 (min., NRC) to 6.820 (max., CLP & QUAD).
CLP & QUAD
6.820LP
5.130CJ Recommendation
Lys requirement from CJ BIO:
- For the best growth performance in 11-25 kg pigs, CJ BIO recommend 5.975 as the optimal requirement for Lys:NE.
- You may expect a 9.0% improvement in ADG performance compared to when using the NRC requirement.
- Lysine data has been calculated based on both ME and NE values, with units expressed in g/Mcal.
- For standard rearing conditions, we recommend using LP-based requirements. In harsher environments, CLP or QUAD values may be more appropriate.
- CJ’s recommendations are based on the average of the LP and CLP models, providing a balanced guideline suitable for a wide range of production systems.
- Ao, X. et al. "Effect of dietary standardized ileal digestible lysine and copper density on growth performance, nutrient digestibility, blood profiles, fecal microbiota, backfat thickness and lean meat percentage in growing pigs." Livestock Science vol. 225 (2019): 96–102. doi: 10.1016/j.livsci.2019.05.012
- Hu, X. et al. "Effects of Dietary Lysine Levels on Growth Performance, Nutrient Digestibility, Serum Metabolites, and Meat Quality of Baqing Pigs." Animals vol. 12, no. 15 (2022): 1884. doi: 10.3390/ani12151884
- Jasper, J. E. et al. "Increasing the ratio of SID lysine to metabolizable energy improves pig performance during a viral challenge." Journal of Animal Science vol. 98, no. 4 (2020): skaa082. doi: 10.1093/jas/skaa082
- Kahindi, R. et al. "Dietary lysine requirement for 7-16 kg pigs fed wheat-corn-soybean meal-based diets." Journal of Animal Physiology and Animal Nutrition vol. 101 (2016): n/a–n/a. doi: 10.1111/jpn.12491
- Kahindi, R. K. et al. "Short Communication: Effect of dietary lysine content and sanitation conditions on performance of weaned pigs fed antibiotic-free diets." Canadian Journal of Animal Science vol. 94, no. 1 (2014): 115–118. doi: 10.4141/cjas2013-016
Met : SID % Lys Requirement for Weanling pigs (11-25 kg)
Study Result Summary
Met requirement from Study Result :
- For weanling pigs (11-25 kg), the Met:SID Lys range for optimal average daily gain (ADG) performance is from 0.293 (min., NRC) to 0.456 (max., CLP & QUAD).
CLP & QUAD
0.456LP
0.408CJ Recommendation
Met requirement from CJ BIO:
- For the best growth performance in 11-25 kg pigs, CJ BIO recommend 0.432 as the optimal requirement for Met:SID Lys.
- You may expect a 14.0% improvement in ADG performance compared to when using the NRC requirement.
- For standard rearing conditions, we recommend using LP-based requirements. In harsher environments, CLP or QUAD values may be more appropriate.
- CJ’s recommendations are based on the average of the LP and CLP models, providing a balanced guideline suitable for a wide range of production systems.
- Kahindi, Roseline K. et al. "Growth performance and expression of genes encoding enzymes involved in methionine and cysteine metabolism in piglets fed increasing sulphur amino acid to lysine ratio during enterotoxigenic Escherichia coli challenge." Canadian Journal of Animal Science vol. 98,2 (2018): 333-340. doi: 10.1139/cjas-2017-0027
- Zong, Enyan et al. “The effects of dietary sulfur amino acids on growth performance, intestinal morphology, enzyme activity, and nutrient transporters in weaning piglets.” Journal of animal science vol. 96,3 (2018): 1130-1139. doi:10.1093/jas/skx003
- Capozzalo, M M et al. "Determination of the optimum standardised ileal digestible sulphur amino acids to lysine ratio in weaned pigs challenged with enterotoxigenic Escherichia coli." Animal Feed Science and Technology vol. 227 (2017): 118-130. doi: 10.1016/j.anifeedsci.2017.03.004
- Kahindi, Roselyn et al. “Optimal sulfur amino acid to lysine ratio for post weaning piglets reared under clean or unclean sanitary conditions.” Animal nutrition (Zhongguo xu mu shou yi xue hui) vol. 3,4 (2017): 380-385. doi:10.1016/j.aninu.2017.08.004
- Chen, Ying et al. “L-methionine supplementation maintains the integrity and barrier function of the small-intestinal mucosa in post-weaning piglets.” Amino acids vol. 46,4 (2014): 1131-42. doi:10.1007/s00726-014-1675-5
SAA (Met+Cys) : SID % Lys Requirement for Weanling pigs (11-25 kg)
Study Result Summary
SAA requirement from Study Result :
- For weanling pigs (11-25 kg), the SAA:SID Lys range for optimal average daily gain (ADG) performance is from 0.553 (min., NRC) to 0.770 (max., CLP & QUAD).
CLP & QUAD
0.770LP
0.634CJ
0.702NRC
0.553CJ Recommendation
SAA requirement from CJ BIO:
- For the best growth performance in 11-25 kg pigs, CJ BIO recommend 0.702 as the optimal requirement for SAA:SID Lys.
- You may expect a 9.3% improvement in ADG performance compared to when using the NRC requirement.
Diff. CJ-NRC
SAA:SID Lys ratio 0.149
Growth Perf. 9.3%
- For standard rearing conditions, we recommend using LP-based requirements. In harsher environments, CLP or QUAD values may be more appropriate.
- CJ’s recommendations are based on the average of the LP and CLP models, providing a balanced guideline suitable for a wide range of production systems.
- Kahindi, Roseline K. et al. "Growth performance and expression of genes encoding enzymes involved in methionine and cysteine metabolism in piglets fed increasing sulphur amino acid to lysine ratio during enterotoxigenic Escherichia coli challenge." Canadian Journal of Animal Science vol. 98,2 (2018): 333-340. doi: 10.1139/cjas-2017-0027
- Zong, Enyan et al. “The effects of dietary sulfur amino acids on growth performance, intestinal morphology, enzyme activity, and nutrient transporters in weaning piglets.” Journal of animal science vol. 96,3 (2018): 1130-1139. doi:10.1093/jas/skx003
- Capozzalo, M M et al. "Determination of the optimum standardised ileal digestible sulphur amino acids to lysine ratio in weaned pigs challenged with enterotoxigenic Escherichia coli." Animal Feed Science and Technology vol. 227 (2017): 118-130. doi: 10.1016/j.anifeedsci.2017.03.004
- Capozzalo, M M et al. "Pigs experimentally infected with an enterotoxigenic strain of Escherichia coli have improved feed efficiency and indicators of inflammation with dietary supplementation of tryptophan and methionine in the immediate post-weaning period." Animal Production Science vol. 57,5 (2017): 935-947. doi: 10.1071/AN15289
- Kahindi, Roselyn et al. “Optimal sulfur amino acid to lysine ratio for post weaning piglets reared under clean or unclean sanitary conditions.” Animal nutrition (Zhongguo xu mu shou yi xue hui) vol. 3,4 (2017): 380-385. doi:10.1016/j.aninu.2017.08.004
- Chen, Ying et al. “L-methionine supplementation maintains the integrity and barrier function of the small-intestinal mucosa in post-weaning piglets.” Amino acids vol. 46,4 (2014): 1131-42. doi:10.1007/s00726-014-1675-5
Trp : SID % Lys Requirement for Weanling pigs (11-25 kg)
Study Result Summary
Trp requirement from Study Result :
- For weanling pigs (11-25 kg), the Trp:SID Lys range for optimal average daily gain (ADG) performance is from 0.163 (min., NRC) to 0.202 (max., QUAD) .
QUAD
0.202CLP
0.194LP
0.181CJ
0.188NRC
0.163CJ Recommendation
Trp requirement from CJ BIO:
- For the best growth performance in 11-25 kg pigs, CJ BIO recommend 0.188 as the optimal requirement for Trp:SID Lys.
- You may expect a 5.7% improvement in ADG performance compared to when using the NRC requirement.
Diff. CJ-NRC
Trp:SID Lys ratio 0.025
Growth Perf. 5.7%
- For standard rearing conditions, we recommend using LP-based requirements. In harsher environments, CLP or QUAD values may be more appropriate.
- CJ’s recommendations are based on the average of the LP and CLP models, providing a balanced guideline suitable for a wide range of production systems.
- Ma, Wenfeng et al. "Standardized ileal digestible tryptophan to lysine ratios affect performance and regulate intestinal mRNA expression of amino acid transporters in weaning pigs fed a low crude protein diet." Animal Feed Science and Technology vol. 275 (2021): 114857. doi: 10.1016/j.anifeedsci.2021.114857
- Capozzalo, M M et al. "Estimating the standardised ileal digestible tryptophan requirement of pigs kept under commercial conditions in the immediate post-weaning period." Animal Feed Science and Technology vol. 259 (2020): 114342. doi: 10.1016/j.anifeedsci.2019.114342
- Jayaraman, Balachandar et al. "Effects of dietary standardized ileal digestible tryptophan:lysine ratio on performance, plasma urea nitrogen, ileal histomorphology and immune responses in weaned pigs challenged with Escherichia coli K88." Livestock Science vol. 203 (2017): 114-119. doi: 10.1016/j.livsci.2017.07.014
- Jayaraman, Balachandar et al. “Effects of different dietary tryptophan : lysine ratios and sanitary conditions on growth performance, plasma urea nitrogen, serum haptoglobin and ileal histomorphology of weaned pigs.” Animal science journal = Nihon chikusan Gakkaiho vol. 88,5 (2017): 763-771. doi:10.1111/asj.12695
- Capozzalo, M M et al. "Pigs experimentally infected with an enterotoxigenic strain of Escherichia coli have improved feed efficiency and indicators of inflammation with dietary supplementation of tryptophan and methionine in the immediate post-weaning period." Animal Production Science vol. 57,5 (2016) doi: 10.1071/AN15289
- Capozzalo, M M et al. “Effect of increasing the dietary tryptophan to lysine ratio on plasma levels of tryptophan, kynurenine and urea and on production traits in weaner pigs experimentally infected with an enterotoxigenic strain of Escherichia coli.” Archives of animal nutrition vol. 69,1 (2015): 17-29. doi:10.1080/1745039X.2014.995972
- Gonçalves, M A D et al. “Effects of standardized ileal digestible tryptophan: lysine ratio on growth performance of nursery pigs.” Journal of animal science vol. 93,8 (2015): 3909-18. doi:10.2527/jas.2015-9083
- Nørgaard, J V et al. "Optimum standardized ileal digestible tryptophan to lysine ratio for pigs weighing 7–14 kg." Livestock Science vol. 175 (2015): 90-95. doi: 10.1016/j.livsci.2015.02.012
- Borgesa, G et al. "Optimum ratio of standardized ileal digestible tryptophan to lysine for piglets." Journal of Animal and Feed Sciences vol. 22,4 (2013): 323-328. doi: 10.22358/jafs/65920/2013
- Capozzalo, M M et al. “An increased ratio of dietary tryptophan to lysine improves feed efficiency and elevates plasma tryptophan and kynurenine in the absence of antimicrobials and regardless of infection with enterotoxigenic Escherichia coli in weaned pigs.” Journal of animal science vol. 90 Suppl 4 (2012): 191-3. doi:10.2527/jas.53900
- Le Floc'h, N et al. “A moderate inflammation caused by the deterioration of housing conditions modifies Trp metabolism but not Trp requirement for growth of post-weaned piglets.” Animal : an international journal of animal bioscience vol. 4,11 (2010): 1891-8. doi:10.1017/S1751731110000236
- Trevisi, P et al. "Healthy newly weaned pigs require more tryptophan to maximize feed intake if they are susceptible to Escherichia coli K88." Livestock Science vol. 134,1-3 (2010): 236-238. doi: 10.1016/j.livsci.2010.06.151
Val : SID % Lys Requirement for Weanling pigs (11-25 kg)
Study Result Summary
Val requirement from Study Result :
- For weanling pigs (11-25 kg), the Val:SID Lys range for optimal average daily gain (ADG) performance is from 0.634 (min., NRC) to 0.724 (max., QUAD).
QUAD
0.724CLP
0.722LP
0.672CJ
0.697NRC
0.634CJ Recommendation
Val requirement from CJ BIO:
- For the best growth performance in 11-25 kg pigs, CJ BIO recommend 0.697 as the optimal requirement for Val:SID Lys.
- You may expect a 9.9% improvement in ADG performance compared to when using the NRC requirement.
Diff. CJ-NRC
Val:SID Lys ratio 0.063
Growth Perf. 9.9%
- For standard rearing conditions, we recommend using LP-based requirements. In harsher environments, CLP or QUAD values may be more appropriate.
- CJ’s recommendations are based on the average of the LP and CLP models, providing a balanced guideline suitable for a wide range of production systems.
- Goodarzi, Parniyan et al. “Dietary Isoleucine and Valine: Effects on Lipid Metabolism and Ureagenesis in Pigs Fed with Protein Restricted Diets.” Metabolites vol. 13,1 89. 5 Jan. 2023. doi:10.3390/metabo13010089
- Goodarzi, Parniyan et al. “Effect of Isoleucine and Added Valine on Performance, Nutrients Digestibility and Gut Microbiota Composition of Pigs Fed with Very Low Protein Diets.” International journal of molecular sciences vol. 23,23 14886. 28 Nov. 2022. doi:10.3390/ijms232314886
- Habibi, Mohammad et al. “A Mixture of Valine and Isoleucine Restores the Growth of Protein-Restricted Pigs Likely through Improved Gut Development, Hepatic IGF-1 Pathway, and Plasma Metabolomic Profile.” International journal of molecular sciences vol. 23,6 3300. 18 Mar. 2022. doi:10.3390/ijms23063300
- Siebert, Diana et al. “The Optimal Valine to Lysine Ratio for Performance Parameters in Weaned Piglets.” Animals : an open access journal from MDPI vol. 11,5 1255. 27 Apr. 2021. doi:10.3390/ani11051255
- Millet, Sam et al. "Standardized ileal digestible lysine and valine-to-lysine requirements for optimal performance of 4 to 9-week-old Piétrain cross piglets." Livestock Science vol. 241 (2020): 104263. doi:10.1016/j.livsci.2020.104263
- Oliveira, Maryane S F et al. “Bioavailability of valine in spray-dried L-valine biomass is not different from that in crystalline L-valine when fed to weanling pigs.” Journal of animal science vol. 97,10 (2019): 4227-4234. doi:10.1093/jas/skz275
- Xu, Ye Tong et al. “Effects of dietary valine:lysine ratio on the performance, amino acid composition of tissues and mRNA expression of genes involved in branched-chain amino acid metabolism of weaned piglets.” Asian-Australasian journal of animal sciences vol. 31,1 (2018): 106-115. doi:10.5713/ajas.17.0148
- Clark, A B et al. “Modeling the effects of standardized ileal digestible valine to lysine ratio on growth performance of nursery pigs.” Translational animal science vol. 1,4 448-457. 1 Dec. 2017. doi:10.2527/tas2017.0049
- Soumeh, E A et al. “Requirement of standardized ileal digestible valine to lysine ratio for 8- to 14-kg pigs.” Animal : an international journal of animal bioscience vol. 9,8 (2015): 1312-8. doi:10.1017/S1751731115000695
- Nemechek, J E et al. “Evaluation of standardized ileal digestible valine:lysine, total lysine:crude protein, and replacing fish meal, meat and bone meal, and poultry byproduct meal with crystalline amino acids on growth performance of nursery pigs from seven to twelve kilograms.” Journal of animal science vol. 92,4 (2014): 1548-61. doi:10.2527/jas.2013-6322
- Millet, Sam. “The Interaction Between Dietary Valine and Tryptophan Content and Their Effect on the Performance of Piglets.” Animals : an open access journal from MDPI vol. 2,1 76-84. 22 Feb. 2012. doi:10.3390/ani2010076
- Barea, R et al. “The standardized ileal digestible valine-to-lysine requirement ratio is at least seventy percent in postweaned piglets.” Journal of animal science vol. 87,3 (2009): 935-47. doi:10.2527/jas.2008-1006
- Nørgaard, J V and Fernández, J A. "Isoleucine and valine supplementation of crude protein-reduced diets for pigs aged 5–8 weeks." Animal Feed Science and Technology vol. 154, 3-4 (2009): 248-253. doi:10.1016/j.anifeedsci.2009.08.010
- Wiltafsky, M K et al. “Estimates of the optimum dietary ratio of standardized ileal digestible valine to lysine for eight to twenty-five kilograms of body weight pigs.” Journal of animal science vol. 87,8 (2009): 2544-53. doi:10.2527/jas.2008-1221
Ile : SID % Lys Requirement for Weanling pigs (11-25 kg)
Study Result Summary
Ile requirement from Study Result :
- For weanling pigs (11-25 kg), the Ile:SID Lys range for optimal average daily gain (ADG) performance is from 0.512 (min., NRC)0.628 (max., QUAD).
QUAD
0.628CLP
0.627LP
0.555CJ
0.591NRC
0.512CJ Recommendation
Ile requirement from CJ BIO:
- For the best growth performance in 11-25 kg pigs, CJ BIO recommend 0.591 as the optimal requirement for Val:SID Lys.
- You may expect a 6.2% improvement in ADG performance compared to when using the NRC requirement.
Diff. CJ-NRC
Val:SID Lys ratio 0.079
Growth Perf. 6.2%
- For standard rearing conditions, we recommend using LP-based requirements. In harsher environments, CLP or QUAD values may be more appropriate.
- CJ’s recommendations are based on the average of the LP and CLP models, providing a balanced guideline suitable for a wide range of production systems.
- Goodarzi, Parniyan et al. “Dietary Isoleucine and Valine: Effects on Lipid Metabolism and Ureagenesis in Pigs Fed with Protein Restricted Diets.” Metabolites vol. 13,1 89. 5 Jan. 2023. doi:10.3390/metabo13010089
- Goodarzi, Parniyan et al. “Effect of Isoleucine and Added Valine on Performance, Nutrients Digestibility and Gut Microbiota Composition of Pigs Fed with Very Low Protein Diets.” International journal of molecular sciences vol. 23,23 14886. 28 Nov. 2022. doi:10.3390/ijms232314886
- Habibi, Mohammad et al. “A Mixture of Valine and Isoleucine Restores the Growth of Protein-Restricted Pigs Likely through Improved Gut Development, Hepatic IGF-1 Pathway, and Plasma Metabolomic Profile.” International journal of molecular sciences vol. 23,6 3300. 18 Mar. 2022. doi:10.3390/ijms23063300
- Clark, A B et al. “Modeling the effects of standardized ileal digestible isoleucine to lysine ratio on growth performance of nursery pigs.” Translational animal science vol. 1,4 437-447. 1 Dec. 2017. doi:10.2527/tas2017.0048
- Clark, Annie et al. "Effects of Dietary Standardized Ileal Digestible Isoleucine:Lysine Ratio on Nursery Pig Performance." Kansas Agricultural Experiment Station Research Reports vol. 2 (2016). doi:10.4148/2378-5977.1289
- Htoo, J K et al. “Determining the optimal isoleucine:lysine ratio for ten- to twenty-two-kilogram and twenty-four- to thirty-nine-kilogram pigs fed diets containing nonexcess levels of leucine.” Journal of animal science vol. 92,8 (2014): 3482-90. doi:10.2527/jas.2013-6934
- Soumeh, E A et al. "The optimum ratio of standardized ileal digestible isoleucine to lysine for 8–15 kg pigs." Animal Feed Science and Technology vol. 198 (2014): 158-165. doi:10.1016/j.anifeedsci.2014.09.013
- Nørgaard, J V et al. “Isoleucine requirement of pigs weighing 8 to 18 kg fed blood cell-free diets.” Journal of animal science vol. 91,8 (2013): 3759-65. doi:10.2527/jas.2012-5998
- Nørgaard, J V and Fernández, J A. "Isoleucine and valine supplementation of crude protein-reduced diets for pigs aged 5–8 weeks." Animal Feed Science and Technology vol. 154, 3-4 (2009): 248-253. doi:10.1016/j.anifeedsci.2009.08.010
- Wiltafsky, M K et al. “Estimation of the optimum ratio of standardized ileal digestible isoleucine to lysine for eight- to twenty-five-kilogram pigs in diets containing spray-dried blood cells or corn gluten feed as a protein source.” Journal of animal science vol. 87,8 (2009): 2554-64. doi:10.2527/jas.2008-1320
Lys : ME Requirement for Growing pigs (25-50 kg)
Study Result Summary
Lys requirement from Study Result :
- For growing pigs (25-50 kg), the Lys:ME range for optimal average daily gain (ADG) performance is from 2.970 (min., NRC)to 3.257 (max., CLP & QUAD).
CLP & QUAD
3.257LP
3.002CJ Recommendation
Lys requirement from CJ BIO:
- For the best growth performance in 25-50 kg pigs, CJ BIO recommend 3.130 as the optimal requirement for Lys:ME.
- You may expect a 1.0% improvement in ADG performance compared to when using the NRC requirement.
- Lysine data has been calculated based on both ME and NE values, with units expressed in g/Mcal.
- For standard rearing conditions, we recommend using LP-based requirements. In harsher environments, CLP or QUAD values may be more appropriate.
- CJ’s recommendations are based on the average of the LP and CLP models, providing a balanced guideline suitable for a wide range of production systems.
- Andretta, I. et al. "Precision feeding can significantly reduce lysine intake and nitrogen excretion without compromising the performance of growing pigs." Animal vol. 10, no. 7 (2016): 1137–1147. doi: 10.1017/S1751731115003067
- Ao, X. et al. "Effect of dietary standardized ileal digestible lysine and copper density on growth performance, nutrient digestibility, blood profiles, fecal microbiota, backfat thickness and lean meat percentage in growing pigs." Livestock Science vol. 225 (2019): 96–102. doi: 10.1016/j.livsci.2019.05.012
- Colina, J. J. et al. "Utilization of crystalline or protein-bound lysine for growth and carcass traits of barrows and gilts fed individually or in groups." Journal of Animal Science vol. 91, no. 8 (2013): 3780–3787. doi: 10.2527/jas.2012-5995
- Elsbernd, A. J. et al. "SID lysine requirement of immunologically and physically castrated male pigs during the grower, early and late finisher periods." Journal of Animal Science vol. 95, no. 3 (2017): 1253–1263. doi: 10.2527/jas.2016.0544
- Hu, X. et al. "Effects of Dietary Lysine Levels on Growth Performance, Nutrient Digestibility, Serum Metabolites, and Meat Quality of Baqing Pigs." Animals vol. 12, no. 15 (2022): 1884. doi: 10.3390/ani12151884
- Li, P. et al. "Effects of the standardized ileal digestible lysine to metabolizable energy ratio on performance and carcass characteristics of growing-finishing pigs." Journal of Animal Science and Biotechnology vol. 3, no. 1 (2012): 9. doi: 10.1186/2049-1891-3-9
- Schweer, W. P. et al. "Increased lysine:metabolizable energy ratio improves grower pig performance during a porcine reproductive and respiratory syndrome virus challenge." Translational Animal Science vol. 3, no. 1 (2018): 393–407. doi: 10.1093/tas/txy108
- Shelton, N. W. et al. "Effects of increasing dietary standardized ileal digestible lysine for gilts grown in a commercial finishing environment." Journal of Animal Science vol. 89, no. 11 (2011): 3587–3595. doi: 10.2527/jas.2010-3030
- Shelton, N. W. et al. "Effects of porcine circovirus type 2 vaccine and increasing standardized ileal digestible lysine:metabolizable energy ratio on growth performance and carcass composition of growing and finishing pigs." Journal of Animal Science vol. 90, no. 1 (2012): 361–372. doi: 10.2527/jas.2011-3870
- Yang, J. et al. "Effects of dietary lysine levels on growth performance, nutrient digestibility, serum metabolites, and carcase and meat quality of Yacha pigs." Italian Journal of Animal Science vol. 21, no. 1 (2022): 1593–1603. doi: 10.1080/1828051X.2022.2123284
Lys : NE Requirement for Growing pigs (25-50 kg)
Study Result Summary
Lys requirement from Study Result :
- For growing pigs (25-50 kg), the Lys:NE range for optimal average daily gain (ADG) performance is from 3.960 (min., NRC) to 5.987 (max., CLP & QUAD).
CLP & QUAD
5.987LP
4.166CJ Recommendation
Lys requirement from CJ BIO:
- For the best growth performance in 25-50 kg pigs, CJ BIO recommend 5.077 as the optimal requirement for Lys:NE.
- You may expect a 4.4% improvement in ADG performance compared to when using the NRC requirement.
- Lysine data has been calculated based on both ME and NE values, with units expressed in g/Mcal.
- For standard rearing conditions, we recommend using LP-based requirements. In harsher environments, CLP or QUAD values may be more appropriate.
- CJ’s recommendations are based on the average of the LP and CLP models, providing a balanced guideline suitable for a wide range of production systems.
- Andretta, I. et al. "Precision feeding can significantly reduce lysine intake and nitrogen excretion without compromising the performance of growing pigs." Animal vol. 10, no. 7 (2016): 1137–1147. doi: 10.1017/S1751731115003067
- Ao, X. et al. "Effect of dietary standardized ileal digestible lysine and copper density on growth performance, nutrient digestibility, blood profiles, fecal microbiota, backfat thickness and lean meat percentage in growing pigs." Livestock Science vol. 225 (2019): 96–102. doi: 10.1016/j.livsci.2019.05.012
- Elsbernd, A. J. et al. "SID lysine requirement of immunologically and physically castrated male pigs during the grower, early and late finisher periods." Journal of Animal Science vol. 95, no. 3 (2017): 1253–1263. doi: 10.2527/jas.2016.0544
- Hu, X. et al. "Effects of Dietary Lysine Levels on Growth Performance, Nutrient Digestibility, Serum Metabolites, and Meat Quality of Baqing Pigs." Animals vol. 12, no. 15 (2022): 1884. doi: 10.3390/ani12151884
Met : SID % Lys Requirement for Growing pigs (25-50 kg)
Study Result Summary
Met requirement from Study Result :
- For growing pigs (25-50 kg), the Met:SID Lys range for optimal average daily gain (ADG) performance is from 0.286 (min., NRC)to 0.359 (max., QUAD).
QUAD
0.359CLP
0.340LP
0.318CJ
0.329NRC
0.286CJ Recommendation
Met requirement from CJ BIO:
- For the best growth performance in 25-50 kg pigs, CJ BIO recommend 0.329 as the optimal requirement for Met:SID Lys.
- You may expect a 6.4% improvement in ADG performance compared to when using the NRC requirement.
Diff. CJ-NRC
Met:SID Lys ratio 0.043
Growth Perf. 6.4%
- For standard rearing conditions, we recommend using LP-based requirements. In harsher environments, CLP or QUAD values may be more appropriate.
- CJ’s recommendations are based on the average of the LP and CLP models, providing a balanced guideline suitable for a wide range of production systems.
- Yang, Zhongyue et al. “Changes in growth performance, plasma metabolite concentrations, and myogenic gene expression in growing pigs fed a methionine-restricted diet.” Frontiers in bioscience (Landmark edition) vol. 26,9 (2021): 413-422. doi:10.52586/4956
- Capozzalo, M M et al. "Determination of the optimum standardised ileal digestible sulphur amino acids to lysine ratio in weaned pigs challenged with enterotoxigenic Escherichia coli." Animal Feed Science and Technology vol. 227 (2017): 118-130. doi:10.1016/j.anifeedsci.2017.03.004
- Conde-Aguilera, J A et al. “The amino acid composition of tissue protein is affected by the total sulfur amino acid supply in growing pigs.” Animal : an international journal of animal bioscience vol. 8,3 (2014): 401-9. doi:10.1017/S1751731113002425
- Conde-Aguilera, J A et al. “A sulfur amino acid deficiency changes the amino acid composition of body protein in piglets.” Animal : an international journal of animal bioscience vol. 4,8 (2010): 1349-58. doi:10.1017/S1751731110000340
SAA (Met+Cys) : SID % Lys Requirement for Growing pigs (25-50 kg)
Study Result Summary
SAA requirement from Study Result :
- For growing pigs (25-50 kg), the SAA:SID Lys range for optimal average daily gain (ADG) performance is from 0.561 (min., NRC) to 0.642 (max., CLP & QUAD).
CLP & QUAD
0.642LP
0.604CJ
0.623NRC
0.561CJ Recommendation
SAA requirement from CJ BIO:
- For the best growth performance in 25-50 kg pigs, CJ BIO recommend 0.623 as the optimal requirement for SAA:SID Lys.
- You may expect a 4.9% improvement in ADG performance compared to when using the NRC requirement.
Diff. CJ-NRC
SAA:SID Lys ratio 0.062
Growth Perf. 4.9%
- For standard rearing conditions, we recommend using LP-based requirements. In harsher environments, CLP or QUAD values may be more appropriate.
- CJ’s recommendations are based on the average of the LP and CLP models, providing a balanced guideline suitable for a wide range of production systems.
- da Silva, Caio Abércio et al. “Increased Sulphur Amino Acids Consumption as OH-Methionine or DL-Methionine Improves Growth Performance and Carcass Traits of Growing-Finishing Pigs Fed under Hot Conditions.” Animals : an open access journal from MDPI vol. 12,17 2159. 23 Aug. 2022. doi:10.3390/ani12172159
- Yang, Zhongyue et al. “Changes in growth performance, plasma metabolite concentrations, and myogenic gene expression in growing pigs fed a methionine-restricted diet.” Frontiers in bioscience (Landmark edition) vol. 26,9 (2021): 413-422. doi:10.52586/4956
- Capozzalo, M M et al. "Determination of the optimum standardised ileal digestible sulphur amino acids to lysine ratio in weaned pigs challenged with enterotoxigenic Escherichia coli." Animal Feed Science and Technology vol. 227 (2017): 118-130. doi:10.1016/j.anifeedsci.2017.03.004
- Kaewtapee, C et al. “Effects of Supplemental Liquid DL-methionine Hydroxy Analog Free Acid in Diet on Growth Performance and Gastrointestinal Functions of Piglets.” Asian-Australasian journal of animal sciences vol. 29,8 (2016): 1166-72. doi:10.5713/ajas.15.0579
- Conde-Aguilera, J A et al. “The amino acid composition of tissue protein is affected by the total sulfur amino acid supply in growing pigs.” Animal : an international journal of animal bioscience vol. 8,3 (2014): 401-9. doi:10.1017/S1751731113002425
- Conde-Aguilera, J A et al. “A sulfur amino acid deficiency changes the amino acid composition of body protein in piglets.” Animal : an international journal of animal bioscience vol. 4,8 (2010): 1349-58. doi:10.1017/S1751731110000340
Trp : SID % Lys Requirement for Growing pigs (25-50 kg)
Study Result Summary
Trp requirement from Study Result :
- For growing pigs (25-50 kg), the Trp:SID Lys range for optimal average daily gain (ADG) performance is from 0.173 (min., NRC & LP) to 0.203 (max.,QUAD).
QUAD
0.203CLP
0.187LP
0.173CJ
0.180NRC
0.173CJ Recommendation
Trp requirement from CJ BIO:
- For the best growth performance in 25-50 kg pigs, CJ BIO recommend 0.180 as the optimal requirement for Trp:SID Lys.
- You may expect a 2.1% improvement in ADG performance compared to when using the NRC requirement.
Diff. CJ-NRC
Trp:SID Lys ratio 0.007
Growth Perf. 2.1%
- For standard rearing conditions, we recommend using LP-based requirements. In harsher environments, CLP or QUAD values may be more appropriate.
- CJ’s recommendations are based on the average of the LP and CLP models, providing a balanced guideline suitable for a wide range of production systems.
- Wensley, Madie R et al. “Effects of amino acid biomass or feed-grade amino acids on growth performance of growing swine and poultry.” Translational animal science vol. 4,1 49-58. 16 Oct. 2019. doi:10.1093/tas/txz163
- Liu, Jingbo et al. "The response of performance in grower and finisher pigs to diets formulated to different tryptophan to lysine ratios." Livestock Science vol. 222 (2019): 25-30. doi:10.1016/j.livsci.2019.01.016
- Gonçalves, M A D et al. “Effects of standardized ileal digestible tryptophan: lysine ratio on growth performance of nursery pigs.” Journal of animal science vol. 93,8 (2015): 3909-18. doi:10.2527/jas.2015-9083
- Shen, Y B et al. "Effects of short term supplementation of l-tryptophan and reducing large neutral amino acid along with l-tryptophan supplementation on growth and stress response in pigs." Animal Feed Science and Technology vol. 207 (2015): 245-252. doi:10.1016/j.anifeedsci.2015.06.020
- Naatijes, Maike et al. "Effect of dietary tryptophan to lysine ratio on growth of young pigs fed wheat–barley or corn based diets." Livestock Science vol. 163 (2014): 102-109. doi:10.1016/j.livsci.2014.02.004
- Shen, Y B et al. “Effects of increasing tryptophan intake on growth and physiological changes in nursery pigs.” Journal of animal science vol. 90,7 (2012): 2264-75. doi:10.2527/jas.2011-4203
- Le Floc'h, N et al. “A moderate inflammation caused by the deterioration of housing conditions modifies Trp metabolism but not Trp requirement for growth of post-weaned piglets.” Animal : an international journal of animal bioscience vol. 4,11 (2010): 1891-8. doi:10.1017/S1751731110000236
Val : SID % Lys Requirement for Growing pigs (25-50 kg)
Study Result Summary
Val requirement from Study Result :
- For growing pigs (25-50 kg), the Val:SID Lys range for optimal average daily gain (ADG) performance is from 0.653 (min., NRC) to 0.706 (max.,QUAD).
QUAD
0.706CLP
0.705LP
0.669CJ
0.687NRC
0.653CJ Recommendation
Val requirement from CJ BIO:
- For the best growth performance in 25-50 kg pigs, CJ BIO recommend 0.687 as the optimal requirement for Val:SID Lys.
- You may expect a 2.7% improvement in ADG performance compared to when using the NRC requirement.
Diff. CJ-NRC
Val:SID Lys ratio 0.034
Growth Perf. 2.7%
- For standard rearing conditions, we recommend using LP-based requirements. In harsher environments, CLP or QUAD values may be more appropriate.
- CJ’s recommendations are based on the average of the LP and CLP models, providing a balanced guideline suitable for a wide range of production systems.
- Goodarzi, Parniyan et al. “Dietary Isoleucine and Valine: Effects on Lipid Metabolism and Ureagenesis in Pigs Fed with Protein Restricted Diets.” Metabolites vol. 13,1 89. 5 Jan. 2023. doi:10.3390/metabo13010089
- Goodarzi, Parniyan et al. “Effect of Isoleucine and Added Valine on Performance, Nutrients Digestibility and Gut Microbiota Composition of Pigs Fed with Very Low Protein Diets.” International journal of molecular sciences vol. 23,23 14886. 28 Nov. 2022. doi:10.3390/ijms232314886
- Habibi, Mohammad et al. “A Mixture of Valine and Isoleucine Restores the Growth of Protein-Restricted Pigs Likely through Improved Gut Development, Hepatic IGF-1 Pathway, and Plasma Metabolomic Profile.” International journal of molecular sciences vol. 23,6 3300. 18 Mar. 2022. doi:10.3390/ijms23063300
- Siebert, Diana et al. “The Optimal Valine to Lysine Ratio for Performance Parameters in Weaned Piglets.” Animals : an open access journal from MDPI vol. 11,5 1255. 27 Apr. 2021. doi:10.3390/ani11051255
- Millet, Sam et al. "Standardized ileal digestible lysine and valine-to-lysine requirements for optimal performance of 4 to 9-week-old Piétrain cross piglets." Livestock Science vol. 241 (2020): 104263. doi:10.1016/j.livsci.2020.104263
- Xu, Ye Tong et al. “Effects of dietary valine:lysine ratio on the performance, amino acid composition of tissues and mRNA expression of genes involved in branched-chain amino acid metabolism of weaned piglets.” Asian-Australasian journal of animal sciences vol. 31,1 (2018): 106-115. doi:10.5713/ajas.17.0148
- Zhang, Xiaoya et al. “Valine Supplementation in a Reduced Protein Diet Regulates Growth Performance Partially through Modulation of Plasma Amino Acids Profile, Metabolic Responses, Endocrine, and Neural Factors in Piglets.” Journal of agricultural and food chemistry vol. 66,12 (2018): 3161-3168. doi:10.1021/acs.jafc.8b01113
- Clark, A B et al. “Modeling the effects of standardized ileal digestible valine to lysine ratio on growth performance of nursery pigs.” Translational animal science vol. 1,4 448-457. 1 Dec. 2017. doi:10.2527/tas2017.0049
- Soumeh, E A et al. “Requirement of standardized ileal digestible valine to lysine ratio for 8- to 14-kg pigs.” Animal : an international journal of animal bioscience vol. 9,8 (2015): 1312-8. doi:10.1017/S1751731115000695
- Nemechek, J E et al. “Evaluation of standardized ileal digestible valine:lysine, total lysine:crude protein, and replacing fish meal, meat and bone meal, and poultry byproduct meal with crystalline amino acids on growth performance of nursery pigs from seven to twelve kilograms.” Journal of animal science vol. 92,4 (2014): 1548-61. doi:10.2527/jas.2013-6322
- Millet, Sam. “The Interaction Between Dietary Valine and Tryptophan Content and Their Effect on the Performance of Piglets.” Animals : an open access journal from MDPI vol. 2,1 76-84. 22 Feb. 2012. doi:10.3390/ani2010076
- Waguespack, A M et al. “Valine and isoleucine requirement of 20- to 45-kilogram pigs.” Journal of animal science vol. 90,7 (2012): 2276-84. doi:10.2527/jas.2011-4454
- Gaines, A M et al. “Estimation of the standardized ileal digestible valine-to-lysine ratio in 13- to 32-kilogram pigs.” Journal of animal science vol. 89,3 (2011): 736-42. doi:10.2527/jas.2010-3134
- Gloaguen, M et al. “Response of piglets to the valine content in diet in combination with the supply of other branched-chain amino acids.” Animal : an international journal of animal bioscience vol. 5,11 (2011): 1734-42. doi:10.1017/S1751731111000760
- Barea, R et al. “The standardized ileal digestible valine-to-lysine requirement ratio is at least seventy percent in postweaned piglets.” Journal of animal science vol. 87,3 (2009): 935-47. doi:10.2527/jas.2008-1006
- Nørgaard, J V and Fernández, J A. "Isoleucine and valine supplementation of crude protein-reduced diets for pigs aged 5–8 weeks." .Animal Feed Science and Technology vol. 154, 3-4 (2009): 248-253. doi:10.1016/j.anifeedsci.2009.08.010
- Wiltafsky, M K et al. “Estimates of the optimum dietary ratio of standardized ileal digestible valine to lysine for eight to twenty-five kilograms of body weight pigs.” Journal of animal science vol. 87,8 (2009): 2544-53. doi:10.2527/jas.2008-1221
Ile : SID % Lys Requirement for Growing pigs (25-50 kg)
Study Result Summary
Ile requirement from Study Result :
- For growing pigs (25-50 kg), the Ile:SID Lys range for optimal average daily gain (ADG) performance is from 0.513 (min., CLP) to 0.528 (max.,QUAD).
QUAD
0.528CLP
0.513LP
0.522CJ
0.517NRC
0.520CJ Recommendation
Ile requirement from CJ BIO:
- For the best growth performance in 25-50 kg pigs, CJ BIO recommend 0.517 as the optimal requirement for Ile:SID Lys.
- You may expect a -0.3% improvement in ADG performance compared to when using the NRC requirement.
Diff. CJ-NRC
Ile:SID Lys ratio -0.003
Growth Perf. -0.3%
- For standard rearing conditions, we recommend using LP-based requirements. In harsher environments, CLP or QUAD values may be more appropriate.
- CJ’s recommendations are based on the average of the LP and CLP models, providing a balanced guideline suitable for a wide range of production systems.
- Goodarzi, Parniyan et al. “Dietary Isoleucine and Valine: Effects on Lipid Metabolism and Ureagenesis in Pigs Fed with Protein Restricted Diets.” Metabolites vol. 13,1 89. 5 Jan. 2023. doi:10.3390/metabo13010089
- Goodarzi, Parniyan et al. “Effect of Isoleucine and Added Valine on Performance, Nutrients Digestibility and Gut Microbiota Composition of Pigs Fed with Very Low Protein Diets.” International journal of molecular sciences vol. 23,23 14886. 28 Nov. 2022. doi:10.3390/ijms232314886
- Habibi, Mohammad et al. “A Mixture of Valine and Isoleucine Restores the Growth of Protein-Restricted Pigs Likely through Improved Gut Development, Hepatic IGF-1 Pathway, and Plasma Metabolomic Profile.” International journal of molecular sciences vol. 23,6 3300. 18 Mar. 2022. doi:10.3390/ijms23063300
- Siebert, Diana et al. “The Optimal Valine to Lysine Ratio for Performance Parameters in Weaned Piglets.” Animals : an open access journal from MDPI vol. 11,5 1255. 27 Apr. 2021. doi:10.3390/ani11051255
- Millet, Sam et al. "Standardized ileal digestible lysine and valine-to-lysine requirements for optimal performance of 4 to 9-week-old Piétrain cross piglets." Livestock Science vol. 241 (2020): 104263. doi:10.1016/j.livsci.2020.104263
- Xu, Ye Tong et al. “Effects of dietary valine:lysine ratio on the performance, amino acid composition of tissues and mRNA expression of genes involved in branched-chain amino acid metabolism of weaned piglets.” Asian-Australasian journal of animal sciences vol. 31,1 (2018): 106-115. doi:10.5713/ajas.17.0148
- Zhang, Xiaoya et al. “Valine Supplementation in a Reduced Protein Diet Regulates Growth Performance Partially through Modulation of Plasma Amino Acids Profile, Metabolic Responses, Endocrine, and Neural Factors in Piglets.” Journal of agricultural and food chemistry vol. 66,12 (2018): 3161-3168. doi:10.1021/acs.jafc.8b01113
- Clark, A B et al. “Modeling the effects of standardized ileal digestible valine to lysine ratio on growth performance of nursery pigs.” Translational animal science vol. 1,4 448-457. 1 Dec. 2017. doi:10.2527/tas2017.0049
- Soumeh, E A et al. “Requirement of standardized ileal digestible valine to lysine ratio for 8- to 14-kg pigs.” Animal : an international journal of animal bioscience vol. 9,8 (2015): 1312-8. doi:10.1017/S1751731115000695
- Nemechek, J E et al. “Evaluation of standardized ileal digestible valine:lysine, total lysine:crude protein, and replacing fish meal, meat and bone meal, and poultry byproduct meal with crystalline amino acids on growth performance of nursery pigs from seven to twelve kilograms.” Journal of animal science vol. 92,4 (2014): 1548-61. doi:10.2527/jas.2013-6322
- Millet, Sam. “The Interaction Between Dietary Valine and Tryptophan Content and Their Effect on the Performance of Piglets.” Animals : an open access journal from MDPI vol. 2,1 76-84. 22 Feb. 2012. doi:10.3390/ani2010076
- Waguespack, A M et al. “Valine and isoleucine requirement of 20- to 45-kilogram pigs.” Journal of animal science vol. 90,7 (2012): 2276-84. doi:10.2527/jas.2011-4454
- Gaines, A M et al. “Estimation of the standardized ileal digestible valine-to-lysine ratio in 13- to 32-kilogram pigs.” Journal of animal science vol. 89,3 (2011): 736-42. doi:10.2527/jas.2010-3134
- Gloaguen, M et al. “Response of piglets to the valine content in diet in combination with the supply of other branched-chain amino acids.” Animal : an international journal of animal bioscience vol. 5,11 (2011): 1734-42. doi:10.1017/S1751731111000760
- Barea, R et al. “The standardized ileal digestible valine-to-lysine requirement ratio is at least seventy percent in postweaned piglets.” Journal of animal science vol. 87,3 (2009): 935-47. doi:10.2527/jas.2008-1006
- Nørgaard, J V and Fernández, J A. "Isoleucine and valine supplementation of crude protein-reduced diets for pigs aged 5–8 weeks." .Animal Feed Science and Technology vol. 154, 3-4 (2009): 248-253. doi:10.1016/j.anifeedsci.2009.08.010
- Wiltafsky, M K et al. “Estimates of the optimum dietary ratio of standardized ileal digestible valine to lysine for eight to twenty-five kilograms of body weight pigs.” Journal of animal science vol. 87,8 (2009): 2544-53. doi:10.2527/jas.2008-1221
Lys : ME Requirement for Growing pigs (50-75 kg)
Study Result Summary
Lys requirement from Study Result :
- For growing pigs (50-75 kg), the Lys:ME range for optimal average daily gain (ADG) performance is from 2.576 (min., NRC) to 3.544 (max., QUAD).
QUAD
3.544CLP
3.539LP
2.921CJ Recommendation
Lys requirement from CJ BIO:
- For the best growth performance in 50-75 kg pigs, CJ BIO recommend 3.230 as the optimal requirement for Lys:ME.
- You may expect a 3.4% improvement in ADG performance compared to when using the NRC requirement.
- Lysine data has been calculated based on both ME and NE values, with units expressed in g/Mcal.
- For standard rearing conditions, we recommend using LP-based requirements. In harsher environments, CLP or QUAD values may be more appropriate.
- CJ’s recommendations are based on the average of the LP and CLP models, providing a balanced guideline suitable for a wide range of production systems.
- Andretta, I. et al. "Precision feeding can significantly reduce lysine intake and nitrogen excretion without compromising the performance of growing pigs." Animal vol. 10, no. 7 (2016): 1137–1147. doi: 10.1017/S1751731115003067
- Ao, X. et al. "Effect of dietary standardized ileal digestible lysine and copper density on growth performance, nutrient digestibility, blood profiles, fecal microbiota, backfat thickness and lean meat percentage in growing pigs." Livestock Science vol. 225 (2019): 96–102. doi: 10.1016/j.livsci.2019.05.012
- Becker, L. L. et al. "Effects of standardized ileal digestible lysine on growth performance and economic return in Duroc-sired finishing pigs." Translational Animal Science vol. 6, no. 2 (2022). doi: 10.1093/tas/txac069
- Elsbernd, A. J. et al. "SID lysine requirement of immunologically and physically castrated male pigs during the grower, early and late finisher periods." Journal of Animal Science vol. 95, no. 3 (2017): 1253–1263. doi: 10.2527/jas.2016.0544
- Hu, X. et al. "Effects of Dietary Lysine Levels on Growth Performance, Nutrient Digestibility, Serum Metabolites, and Meat Quality of Baqing Pigs." Animals vol. 12, no. 15 (2022): 1884. doi: 10.3390/ani12151884
- Li, P. et al. "Effects of the standardized ileal digestible lysine to metabolizable energy ratio on performance and carcass characteristics of growing-finishing pigs." Journal of Animal Science and Biotechnology vol. 3, no. 1 (2012): 9. doi: 10.1186/2049-1891-3-9
- Shelton, N. W. et al. "Effects of increasing dietary standardized ileal digestible lysine for gilts grown in a commercial finishing environment." Journal of Animal Science vol. 89, no. 11 (2011): 3587–3595. doi: 10.2527/jas.2010-3030
- Shelton, N. W. et al. "Effects of porcine circovirus type 2 vaccine and increasing standardized ileal digestible lysine:metabolizable energy ratio on growth performance and carcass composition of growing and finishing pigs." Journal of Animal Science vol. 90, no. 1 (2012): 361–372. doi: 10.2527/jas.2011-3870
- Yang, J. et al. "Effects of dietary lysine levels on growth performance, nutrient digestibility, serum metabolites, and carcase and meat quality of Yacha pigs." Italian Journal of Animal Science vol. 21, no. 1 (2022): 1593–1603. doi: 10.1080/1828051X.2022.2123284
Lys : NE Requirement for Growing pigs (50-75 kg)
Study Result Summary
Lys requirement from Study Result :
- For growing pigs (50-75 kg), the Lys:NE range for optimal average daily gain (ADG) performance is from 3.434 (min., NRC) to 4.248 (max., QUAD).
QUAD
4.248CLP
4.171LP
3.616CJ Recommendation
Lys requirement from CJ BIO:
- For the best growth performance in 50-75 kg pigs, CJ BIO recommend 3.894 as the optimal requirement for Lys:NE.
- You may expect a 2.2% improvement in ADG performance compared to when using the NRC requirement.
- Lysine data has been calculated based on both ME and NE values, with units expressed in g/Mcal.
- For standard rearing conditions, we recommend using LP-based requirements. In harsher environments, CLP or QUAD values may be more appropriate.
- CJ’s recommendations are based on the average of the LP and CLP models, providing a balanced guideline suitable for a wide range of production systems.
- Andretta, I. et al. "Precision feeding can significantly reduce lysine intake and nitrogen excretion without compromising the performance of growing pigs." Animal vol. 10, no. 7 (2016): 1137–1147. doi: 10.1017/S1751731115003067
- Ao, X. et al. "Effect of dietary standardized ileal digestible lysine and copper density on growth performance, nutrient digestibility, blood profiles, fecal microbiota, backfat thickness and lean meat percentage in growing pigs." Livestock Science vol. 225 (2019): 96–102. doi: 10.1016/j.livsci.2019.05.012
- Becker, L. L. et al. "Effects of standardized ileal digestible lysine on growth performance and economic return in Duroc-sired finishing pigs." Translational Animal Science vol. 6, no. 2 (2022). doi: 10.1093/tas/txac069
- Elsbernd, A. J. et al. "SID lysine requirement of immunologically and physically castrated male pigs during the grower, early and late finisher periods." Journal of Animal Science vol. 95, no. 3 (2017): 1253–1263. doi: 10.2527/jas.2016.0544
- Hu, X. et al. "Effects of Dietary Lysine Levels on Growth Performance, Nutrient Digestibility, Serum Metabolites, and Meat Quality of Baqing Pigs." Animals vol. 12, no. 15 (2022): 1884. doi: 10.3390/ani12151884
Met : SID % Lys Requirement for Growing pigs (50-75 kg)
Study Result Summary
Met requirement from Study Result :
- For growing pigs (50-75 kg), the Met:SID Lys range for optimal average daily gain (ADG) performance is from 0.282 (min., NRC) to 0.363 (max., CLP & QUAD) .
CLP & QUAD
0.363LP
0.322CJ Recommendation
Met requirement from CJ BIO:
- For the best growth performance in 50-75 kg pigs, CJ BIO recommend 0.342 as the optimal requirement for Met:SID Lys.
- You may expect a 10.4% improvement in ADG performance compared to when using the NRC requirement.
- For standard rearing conditions, we recommend using LP-based requirements. In harsher environments, CLP or QUAD values may be more appropriate.
- CJ’s recommendations are based on the average of the LP and CLP models, providing a balanced guideline suitable for a wide range of production systems.
- Yang, Zhongyue et al. “Changes in growth performance, plasma metabolite concentrations, and myogenic gene expression in growing pigs fed a methionine-restricted diet.” Frontiers in bioscience (Landmark edition) vol. 26,9 (2021): 413-422. doi:10.52586/4956
- Capozzalo, M M et al. "Determination of the optimum standardised ileal digestible sulphur amino acids to lysine ratio in weaned pigs challenged with enterotoxigenic Escherichia coli." Animal Feed Science and Technology vol. 227 (2017): 118-130. doi:10.1016/j.anifeedsci.2017.03.004
- Conde-Aguilera, J A et al. “The amino acid composition of tissue protein is affected by the total sulfur amino acid supply in growing pigs.” Animal : an international journal of animal bioscience vol. 8,3 (2014): 401-9. doi:10.1017/S1751731113002425
- Conde-Aguilera, J A et al. “A sulfur amino acid deficiency changes the amino acid composition of body protein in piglets.” Animal : an international journal of animal bioscience vol. 4,8 (2010): 1349-58. doi:10.1017/S1751731110000340
SAA (Met+Cys) : SID % Lys Requirement for Growing pigs (50-75 kg)
Study Result Summary
SAA requirement from Study Result :
- For growing pigs (50-75 kg), the SAA:SID Lys range for optimal Gain:Feed performance is from 0.565 (min., NRC) to 0.684 (max., QUAD).
QUAD
0.684CLP
0.625LP
0.601CJ Recommendation
SAA requirement from CJ BIO:
- For the best growth performance in 50-75 kg pigs, CJ BIO recommend 0.613 as the optimal requirement for SAA:SID Lys.
- You may expect a 4.4% improvement in G:F performance compared to when using the NRC requirement.
- For standard rearing conditions, we recommend using LP-based requirements. In harsher environments, CLP or QUAD values may be more appropriate.
- CJ’s recommendations are based on the average of the LP and CLP models, providing a balanced guideline suitable for a wide range of production systems.
- da Silva, Caio Abércio et al. “Increased Sulphur Amino Acids Consumption as OH-Methionine or DL-Methionine Improves Growth Performance and Carcass Traits of Growing-Finishing Pigs Fed under Hot Conditions.” Animals : an open access journal from MDPI vol. 12,17 2159. 23 Aug. 2022. doi:10.3390/ani12172159
- Yang, Zhongyue et al. “Changes in growth performance, plasma metabolite concentrations, and myogenic gene expression in growing pigs fed a methionine-restricted diet.” Frontiers in bioscience (Landmark edition) vol. 26,9 (2021): 413-422. doi:10.52586/4956
- Capozzalo, M M et al. "Determination of the optimum standardised ileal digestible sulphur amino acids to lysine ratio in weaned pigs challenged with enterotoxigenic Escherichia coli." Animal Feed Science and Technology vol. 227 (2017): 118-130. doi:10.1016/j.anifeedsci.2017.03.004
- Kaewtapee, C et al. “Effects of Supplemental Liquid DL-methionine Hydroxy Analog Free Acid in Diet on Growth Performance and Gastrointestinal Functions of Piglets.” Asian-Australasian journal of animal sciences vol. 29,8 (2016): 1166-72. doi:10.5713/ajas.15.0579
- Conde-Aguilera, J A et al. “The amino acid composition of tissue protein is affected by the total sulfur amino acid supply in growing pigs.” Animal : an international journal of animal bioscience vol. 8,3 (2014): 401-9. doi:10.1017/S1751731113002425
- Conde-Aguilera, J A et al. “A sulfur amino acid deficiency changes the amino acid composition of body protein in piglets.” Animal : an international journal of animal bioscience vol. 4,8 (2010): 1349-58. doi:10.1017/S1751731110000340
Trp : SID % Lys Requirement for Growing pigs (50-75 kg)
Study Result Summary
Trp requirement from Study Result :
- For growing pigs (50-75 kg), the Trp:SID Lys range for optimal average daily gain (ADG) performance is from 0.176 (min., NRC) to 0.207 (max., QUAD).
QUAD
0.207CLP
0.195LP
0.185CJ
0.190NRC
0.176CJ Recommendation
Trp requirement from CJ BIO:
- For the best growth performance in 50-75 kg pigs, CJ BIO recommend 0.190 as the optimal requirement for Trp:SID Lys.
- You may expect a 2.2% improvement in ADG performance compared to when using the NRC requirement.
Diff. CJ-NRC
Trp:SID Lys ratio 0.013
Growth Perf. 2.2%
- For standard rearing conditions, we recommend using LP-based requirements. In harsher environments, CLP or QUAD values may be more appropriate.
- CJ’s recommendations are based on the average of the LP and CLP models, providing a balanced guideline suitable for a wide range of production systems.
- Liu, Jingbo et al. "The response of performance in grower and finisher pigs to diets formulated to different tryptophan to lysine ratios." Livestock Science vol. 222 (2019): 25-30. doi:10.1016/j.livsci.2019.01.016
- Wensley, Madie R et al. “Effects of amino acid biomass or feed-grade amino acids on growth performance of growing swine and poultry.” Translational animal science vol. 4,1 49-58. 16 Oct. 2019. doi:10.1093/tas/txz163
- Gonçalves, M A D et al. “Effects of standardized ileal digestible tryptophan: lysine ratio on growth performance of nursery pigs.” Journal of animal science vol. 93,8 (2015): 3909-18. doi:10.2527/jas.2015-9083
- Shen, Y B et al. "Effects of short term supplementation of l-tryptophan and reducing large neutral amino acid along with l-tryptophan supplementation on growth and stress response in pigs." Animal Feed Science and Technology vol. 207 (2015): 245-252. doi:10.1016/j.anifeedsci.2015.06.020
- Naatijes, Maike et al. "Effect of dietary tryptophan to lysine ratio on growth of young pigs fed wheat–barley or corn based diets." Livestock Science vol. 163 (2014): 102-109. doi:10.1016/j.livsci.2014.02.004
- Shen, Y B et al. “Effects of increasing tryptophan intake on growth and physiological changes in nursery pigs.” Journal of animal science vol. 90,7 (2012): 2264-75. doi:10.2527/jas.2011-4203
- Le Floc'h, N et al. “A moderate inflammation caused by the deterioration of housing conditions modifies Trp metabolism but not Trp requirement for growth of post-weaned piglets.” Animal : an international journal of animal bioscience vol. 4,11 (2010): 1891-8. doi:10.1017/S1751731110000236
Val : SID % Lys Requirement for Growing pigs (50-75 kg)
Study Result Summary
Val requirement from Study Result :
- For growing pigs (50-75 kg), the Val:SID Lys range for optimal average daily gain (ADG) performance is from 0.647 (min., NRC) to 0.752 (max., CLP & QUAD).
CLP & QUAD
0.752LP
0.707CJ
0.730NRC
0.647CJ Recommendation
Val requirement from CJ BIO:
- For the best growth performance in 50-75 kg pigs, CJ BIO recommend 0.730 as the optimal requirement for Val:SID Lys.
- You may expect a 8.2% improvement in ADG performance compared to when using the NRC requirement.
Diff. CJ-NRC
Val:SID Lys ratio 0.083
Growth Perf. 8.2%
- For standard rearing conditions, we recommend using LP-based requirements. In harsher environments, CLP or QUAD values may be more appropriate.
- CJ’s recommendations are based on the average of the LP and CLP models, providing a balanced guideline suitable for a wide range of production systems.
- Goodarzi, Parniyan et al. “Dietary Isoleucine and Valine: Effects on Lipid Metabolism and Ureagenesis in Pigs Fed with Protein Restricted Diets.” Metabolites vol. 13,1 89. 5 Jan. 2023. doi:10.3390/metabo13010089
- Goodarzi, Parniyan et al. “Effect of Isoleucine and Added Valine on Performance, Nutrients Digestibility and Gut Microbiota Composition of Pigs Fed with Very Low Protein Diets.” International journal of molecular sciences vol. 23,23 14886. 28 Nov. 2022. doi:10.3390/ijms232314886
- Habibi, Mohammad et al. “A Mixture of Valine and Isoleucine Restores the Growth of Protein-Restricted Pigs Likely through Improved Gut Development, Hepatic IGF-1 Pathway, and Plasma Metabolomic Profile.” International journal of molecular sciences vol. 23,6 3300. 18 Mar. 2022. doi:10.3390/ijms23063300
- Siebert, Diana et al. “The Optimal Valine to Lysine Ratio for Performance Parameters in Weaned Piglets.” Animals : an open access journal from MDPI vol. 11,5 1255. 27 Apr. 2021. doi:10.3390/ani11051255
- Millet, Sam et al. "Standardized ileal digestible lysine and valine-to-lysine requirements for optimal performance of 4 to 9-week-old Piétrain cross piglets." Livestock Science vol. 241 (2020): 104263. doi:10.1016/j.livsci.2020.104263
- Xu, Ye Tong et al. “Effects of dietary valine:lysine ratio on the performance, amino acid composition of tissues and mRNA expression of genes involved in branched-chain amino acid metabolism of weaned piglets.” Asian-Australasian journal of animal sciences vol. 31,1 (2018): 106-115. doi:10.5713/ajas.17.0148
- Zhang, Xiaoya et al. “Valine Supplementation in a Reduced Protein Diet Regulates Growth Performance Partially through Modulation of Plasma Amino Acids Profile, Metabolic Responses, Endocrine, and Neural Factors in Piglets.” Journal of agricultural and food chemistry vol. 66,12 (2018): 3161-3168. doi:10.1021/acs.jafc.8b01113
- Clark, A B et al. “Modeling the effects of standardized ileal digestible valine to lysine ratio on growth performance of nursery pigs.” Translational animal science vol. 1,4 448-457. 1 Dec. 2017. doi:10.2527/tas2017.0049
- Soumeh, E A et al. “Requirement of standardized ileal digestible valine to lysine ratio for 8- to 14-kg pigs.” Animal : an international journal of animal bioscience vol. 9,8 (2015): 1312-8. doi:10.1017/S1751731115000695
- Nemechek, J E et al. “Evaluation of standardized ileal digestible valine:lysine, total lysine:crude protein, and replacing fish meal, meat and bone meal, and poultry byproduct meal with crystalline amino acids on growth performance of nursery pigs from seven to twelve kilograms.” Journal of animal science vol. 92,4 (2014): 1548-61. doi:10.2527/jas.2013-6322
- Millet, Sam. “The Interaction Between Dietary Valine and Tryptophan Content and Their Effect on the Performance of Piglets.” Animals : an open access journal from MDPI vol. 2,1 76-84. 22 Feb. 2012. doi:10.3390/ani2010076
- Waguespack, A M et al. “Valine and isoleucine requirement of 20- to 45-kilogram pigs.” Journal of animal science vol. 90,7 (2012): 2276-84. doi:10.2527/jas.2011-4454
- Gaines, A M et al. “Estimation of the standardized ileal digestible valine-to-lysine ratio in 13- to 32-kilogram pigs.” Journal of animal science vol. 89,3 (2011): 736-42. doi:10.2527/jas.2010-3134
- Gloaguen, M et al. “Response of piglets to the valine content in diet in combination with the supply of other branched-chain amino acids.” Animal : an international journal of animal bioscience vol. 5,11 (2011): 1734-42. doi:10.1017/S1751731111000760
- Barea, R et al. “The standardized ileal digestible valine-to-lysine requirement ratio is at least seventy percent in postweaned piglets.” Journal of animal science vol. 87,3 (2009): 935-47. doi:10.2527/jas.2008-1006
- Nørgaard, J V and Fernández, J A. "Isoleucine and valine supplementation of crude protein-reduced diets for pigs aged 5–8 weeks." Animal Feed Science and Technology vol. 154, 3-4 (2009): 248-253. doi:10.1016/j.anifeedsci.2009.08.010
- Wiltafsky, M K et al. “Estimates of the optimum dietary ratio of standardized ileal digestible valine to lysine for eight to twenty-five kilograms of body weight pigs.” Journal of animal science vol. 87,8 (2009): 2544-53. doi:10.2527/jas.2008-1221
Ile : (NE or ME or Lys SID) Requirement for Weanling pigs (7-11 kg)
Ile requirement from Study Result :
Ile requirement from Study Result :
- For standard rearing conditions, we recommend using LP-based requirements. In harsher environments, CLP or QUAD values may be more appropriate.
- CJ’s recommendations are based on the average of the LP and CLP models, providing a balanced guideline suitable for a wide range of production systems.
Lys : ME Requirement for Weanling pigs (75-100 kg)
Study Result Summary
Lys requirement from Study Result :
- For finishing pigs (75-100 kg), the Lys:ME range for optimal average daily gain (ADG) performance is from 2.212 (min., NRC) to 3.186 (max., CLP & QUAD).
CLP & QUAD
3.186LP
2.494Study Result Summary
Lys requirement from Study Result :
- For the best growth performance in 75-100 kg pigs, CJ BIO recommend 2.840 as the optimal requirement for Lys:ME.
- You may expect a 5.2% improvement in ADG performance compared to when using the NRC requirement.
- Lysine data has been calculated based on both ME and NE values, with units expressed in g/Mcal.
- For standard rearing conditions, we recommend using LP-based requirements. In harsher environments, CLP or QUAD values may be more appropriate.
- CJ’s recommendations are based on the average of the LP and CLP models, providing a balanced guideline suitable for a wide range of production systems.
- Andretta, I. et al. "Precision feeding can significantly reduce lysine intake and nitrogen excretion without compromising the performance of growing pigs." Animal vol. 10, no. 7 (2016): 1137–1147. doi: 10.1017/S1751731115003067
- Becker, L. L. et al. "Effects of standardized ileal digestible lysine on growth performance and economic return in Duroc-sired finishing pigs." Translational Animal Science vol. 6, no. 2 (2022). doi: 10.1093/tas/txac069
- Elsbernd, A. J. et al. "SID lysine requirement of immunologically and physically castrated male pigs during the grower, early and late finisher periods." Journal of Animal Science vol. 95, no. 3 (2017): 1253–1263. doi: 10.2527/jas.2016.0544
- Hu, X. et al. "Effects of Dietary Lysine Levels on Growth Performance, Nutrient Digestibility, Serum Metabolites, and Meat Quality of Baqing Pigs." Animals vol. 12, no. 15 (2022): 1884. doi: 10.3390/ani12151884
- Li, P. et al. "Effects of the standardized ileal digestible lysine to metabolizable energy ratio on performance and carcass characteristics of growing-finishing pigs." Journal of Animal Science and Biotechnology vol. 3, no. 1 (2012): 9. doi: 10.1186/2049-1891-3-9
- Shelton, N. W. et al. "Effects of increasing dietary standardized ileal digestible lysine for gilts grown in a commercial finishing environment." Journal of Animal Science vol. 89, no. 11 (2011): 3587–3595. doi: 10.2527/jas.2010-3030
- Shelton, N. W. et al. "Effects of porcine circovirus type 2 vaccine and increasing standardized ileal digestible lysine:metabolizable energy ratio on growth performance and carcass composition of growing and finishing pigs." Journal of Animal Science vol. 90, no. 1 (2012): 361–372. doi: 10.2527/jas.2011-3870
- Yang, J. et al. "Effects of dietary lysine levels on growth performance, nutrient digestibility, serum metabolites, and carcase and meat quality of Yacha pigs." Italian Journal of Animal Science vol. 21, no. 1 (2022): 1593–1603. doi: 10.1080/1828051X.2022.2123284
Lys : NE Requirement for Finishing pigs (75-100 kg)
Study Result Summary
Lys requirement from Study Result :
- For finishing pigs (75-100 kg), the Lys:NE range for optimal average daily gain (ADG) performance is from 2.949 (min., NRC) to 4.278 (max., CLP & QUAD).
CLP & QUAD
4.278LP
3.356CJ Recommendation
Lys requirement from CJ BIO:
- For the best growth performance in 75-100 kg pigs, CJ BIO recommend 3.817 as the optimal requirement for Lys:NE.
- You may expect a 4.6% improvement in ADG performance compared to when using the NRC requirement.
- Lysine data has been calculated based on both ME and NE values, with units expressed in g/Mcal.
- For standard rearing conditions, we recommend using LP-based requirements. In harsher environments, CLP or QUAD values may be more appropriate.
- CJ’s recommendations are based on the average of the LP and CLP models, providing a balanced guideline suitable for a wide range of production systems.
- Andretta, I. et al. "Precision feeding can significantly reduce lysine intake and nitrogen excretion without compromising the performance of growing pigs." Animal vol. 10, no. 7 (2016): 1137–1147. doi: 10.1017/S1751731115003067
- Becker, L. L. et al. "Effects of standardized ileal digestible lysine on growth performance and economic return in Duroc-sired finishing pigs." Translational Animal Science vol. 6, no. 2 (2022). doi: 10.1093/tas/txac069
- Correia, A. et al. "Temporary reduction of digestible lysine in nursery pig diets: performance and economic analysis." Revista Brasileira de Saúde e Produção Animal vol. 23 (2022). doi: 10.1590/s1519-994020222025
- Elsbernd, A. J. et al. "SID lysine requirement of immunologically and physically castrated male pigs during the grower, early and late finisher periods." Journal of Animal Science vol. 95, no. 3 (2017): 1253–1263. doi: 10.2527/jas.2016.0544
- Hu, X. et al. "Effects of Dietary Lysine Levels on Growth Performance, Nutrient Digestibility, Serum Metabolites, and Meat Quality of Baqing Pigs." Animals vol. 12, no. 15 (2022): 1884. doi: 10.3390/ani12151884
- For standard rearing conditions, we recommend using LP-based requirements. In harsher environments, CLP or QUAD values may be more appropriate.
- CJ’s recommendations are based on the average of the LP and CLP models, providing a balanced guideline suitable for a wide range of production systems.
SAA (Met+Cys) : SID % Lys Requirement for Finishing pigs (75-100 kg)
Study Result Summary
SAA requirement from Study Result :
- For finishing pigs (75-100 kg), the SAA:SID Lys range for optimal average daily gain (ADG) performance is from 0.575 (min., NRC)to 0.619 (max., QUAD).
QUAD
0.619CLP
0.589LP
0.586CJ
0.587NRC
0.575CJ Recommendation
SAA requirement from CJ BIO:
- For the best growth performance in 75-100 kg pigs, CJ BIO recommend 0.587 as the optimal requirement for SAA:SID Lys.
- You may expect a 1.7% improvement in ADG performance compared to when using the NRC requirement.
Diff. CJ-NRC
SAA:SID Lys ratio 0.012
Growth Perf. 1.7%
- For standard rearing conditions, we recommend using LP-based requirements. In harsher environments, CLP or QUAD values may be more appropriate.
- CJ’s recommendations are based on the average of the LP and CLP models, providing a balanced guideline suitable for a wide range of production systems.
- da Silva, Caio Abércio et al. “Increased Sulphur Amino Acids Consumption as OH-Methionine or DL-Methionine Improves Growth Performance and Carcass Traits of Growing-Finishing Pigs Fed under Hot Conditions.” Animals : an open access journal from MDPI vol. 12,17 2159. 23 Aug. 2022. doi:10.3390/ani12172159
- Yang, Zhongyue et al. “Changes in growth performance, plasma metabolite concentrations, and myogenic gene expression in growing pigs fed a methionine-restricted diet.” Frontiers in bioscience (Landmark edition) vol. 26,9 (2021): 413-422. doi:10.52586/4956
- Ho, Trung Thong et al. “Estimation of the standardized ileal digestible lysine requirement and optimal sulphur amino acids to lysine ratio for 30-50 kg pigs.” Journal of animal physiology and animal nutrition vol. 103,1 (2019): 258-268. doi:10.1111/jpn.13029
- Remus, A et al. "Response to dietary methionine supply of growing pigs fed daily tailored diets or fed according to a conventional phase feeding system" Livestock Science vol. 222 (2019): 7-13. doi:10.1016/j.livsci.2019.02.006
- Kaewtapee, C et al. “Effects of Supplemental Liquid DL-methionine Hydroxy Analog Free Acid in Diet on Growth Performance and Gastrointestinal Functions of Piglets.” Asian-Australasian journal of animal sciences vol. 29,8 (2016): 1166-72. doi:10.5713/ajas.15.0579
- Zhang, Guijie et al. "Optimum proportion of standardized ileal digestible sulfur amino acid to lysine to maximize the performance of 25–50 kg growing pigs fed reduced crude protein diets fortified with amino acids." Czech Journal of Animal Science vol. 60,7 (2015): 302-310. doi:10.17221/8276-CJAS
- Conde-Aguilera, J A et al. “The amino acid composition of tissue protein is affected by the total sulfur amino acid supply in growing pigs.” Animal : an international journal of animal bioscience vol. 8,3 (2014): 401-9. doi:10.1017/S1751731113002425
- Frantz, N Z et al. "The Optimal Standardized Ileal Digestible Lysine and Total Sulfur Amino Acid Requirement for Finishing Pigs Fed Ractopamine Hydrochloride." The Professional Animal Scientist vol. 25,2 (2009): 161-168. doi:10.15232/S1080-7446(15)30706-3
Trp : SID % Lys Requirement for Finishing pigs (75-100 kg)
Study Result Summary
Trp requirement from Study Result :
- For finishing pigs (75-100 kg), the Trp:SID Lys range for optimal average daily gain (ADG) performance is from 0.164 (min., CLP) to 0.194 (max., QUAD).
QUAD
0.194CLP
0.164LP
0.166CJ
0.165NRC
0.178CJ Recommendation
Trp requirement from CJ BIO:
- For the best growth performance in 75-100 kg pigs, CJ BIO recommend 0.165 as the optimal requirement for Trp:SID Lys.
- You may expect a -2.8% improvement in ADG performance compared to when using the NRC requirement.
Diff. CJ-NRC
Trp:SID Lys ratio -0.013
Growth Perf. -2.8%
- For standard rearing conditions, we recommend using LP-based requirements. In harsher environments, CLP or QUAD values may be more appropriate.
- CJ’s recommendations are based on the average of the LP and CLP models, providing a balanced guideline suitable for a wide range of production systems.
- Kwon, Woong B et al. “Effects of dietary leucine and tryptophan on serotonin metabolism and growth performance of growing pigs.” Journal of animal science vol. 100,1 (2022): skab356. doi:10.1093/jas/skab356
- Tolosa, Andres F et al. “Effects of reducing the standardized ileal digestible lysine and tryptophan to lysine ratio to slow growth of finishing pigs.” Translational animal science vol. 6,2 txac057. 6 May. 2022. doi:10.1093/tas/txac057
- Kerkaert, Hayden R et al. “Improving performance of finishing pigs with added valine, isoleucine, and tryptophan: validating a meta-analysis model.” Journal of animal science vol. 99,1 (2021): skab006. doi:10.1093/jas/skab006
- Liu, Jingbo et al. "The response of performance in grower and finisher pigs to diets formulated to different tryptophan to lysine ratios." Livestock Science vol. 222 (2019): 25-30. doi:10.1016/j.livsci.2019.01.016
- Gonçalves, M A D et al. “Dose-response evaluation of the standardized ileal digestible tryptophan : lysine ratio to maximize growth performance of growing-finishing gilts under commercial conditions.” Animal : an international journal of animal bioscience vol. 12,7 (2018): 1380-1387. doi:10.1017/S1751731117002968
- Yu, D Y et al. “Antibiotic inclusion in the diet did not alter the standardized ileal digestible tryptophan to lysine ratio for growing pigs.” Journal of animal science vol. 95,12 (2017): 5516-5523. doi:10.2527/jas2017.1982
- Shen, Y B et al. "Effects of short term supplementation of l-tryptophan and reducing large neutral amino acid along with l-tryptophan supplementation on growth and stress response in pigs." Animal Feed Science and Technology vol. 207 (2015): 245-252. doi:10.1016/j.anifeedsci.2015.06.020
- Naatijes, Maike et al. "Effect of dietary tryptophan to lysine ratio on growth of young pigs fed wheat–barley or corn based diets." Livestock Science vol. 163 (2014): 102-109. doi:10.1016/j.livsci.2014.02.004
- Quant, A D et al. “Standardized ileal digestible tryptophan-to-lysine ratios in growing pigs fed corn-based and non-corn-based diets.” Journal of animal science vol. 90,4 (2012): 1270-9. doi:10.2527/jas.2011-4537
- Zhang, Guijie et al. "Estimation of the ideal standardized ileal digestible tryptophan to lysine ratio for growing pigs fed low crude protein diets supplemented with crystalline amino acids." Livestock Science vol. 149,3 (2012): 260-266. doi:10.1016/j.livsci.2012.07.024
- Le Floc'h, N et al. “A moderate inflammation caused by the deterioration of housing conditions modifies Trp metabolism but not Trp requirement for growth of post-weaned piglets.” Animal : an international journal of animal bioscience vol. 4,11 (2010): 1891-8. doi:10.1017/S1751731110000236
- Eder, K et al. “Tryptophan requirement of growing pigs at various body weights.” Journal of animal physiology and animal nutrition vol. 87,9-10 (2003): 336-46. doi:10.1046/j.1439-0396.2003.00442.x
Val : SID % Lys Requirement for Finishing pigs (75-100 kg)
Study Result Summary
Val requirement from Study Result :
- For finishing pigs (75-100 kg), the Val:SID Lys range for optimal average daily gain (ADG) performance is from 0.658 (min., NRC) to 0.800 (max., CLP & QUAD).
CLP & QUAD
0.800LP
0.675CJ
0.738NRC
0.658CJ Recommendation
Val requirement from CJ BIO:
- For the best growth performance in 75-100 kg pigs, CJ BIO recommend 0.738 as the optimal requirement for Val:SID Lys.
- You may expect a 5.5% improvement in ADG performance compared to when using the NRC requirement.
Diff. CJ-NRC
Val:SID Lys ratio 0.080
Growth Perf. 5.5%
- For standard rearing conditions, we recommend using LP-based requirements. In harsher environments, CLP or QUAD values may be more appropriate.
- CJ’s recommendations are based on the average of the LP and CLP models, providing a balanced guideline suitable for a wide range of production systems.
- Clizer, David A et al. “Impact of increasing standardized ileal digestible valine: lysine in diets containing 30% dried distiller grains with solubles on growing pig performance.” Journal of animal science vol. 100,9 (2022): skac228. doi:10.1093/jas/skac228
- Kerkaert, Hayden R et al. “Improving performance of finishing pigs with added valine, isoleucine, and tryptophan: validating a meta-analysis model.” Journal of animal science vol. 99,1 (2021): skab006. doi:10.1093/jas/skab006
- Siebert, Diana et al. “The Optimal Valine to Lysine Ratio for Performance Parameters in Weaned Piglets.” Animals : an open access journal from MDPI vol. 11,5 1255. 27 Apr. 2021. doi:10.3390/ani11051255
- Gonçalves, Marcio A D et al. “Standardized ileal digestible valine:lysine dose response effects in 25- to 45-kg pigs under commercial conditions.” Journal of animal science vol. 96,2 (2018): 591-599. doi:10.1093/jas/skx059
- Zhang, Xiaoya et al. “Valine Supplementation in a Reduced Protein Diet Regulates Growth Performance Partially through Modulation of Plasma Amino Acids Profile, Metabolic Responses, Endocrine, and Neural Factors in Piglets.” Journal of agricultural and food chemistry vol. 66,12 (2018): 3161-3168. doi:10.1021/acs.jafc.8b01113
- Liu, X T et al. “Estimation of the standardized ileal digestible valine to lysine ratio required for 25- to 120-kilogram pigs fed low crude protein diets supplemented with crystalline amino acids.” Journal of animal science vol. 93,10 (2015): 4761-73. doi:10.2527/jas.2015-9308
- Waguespack, A M et al. “Valine and isoleucine requirement of 20- to 45-kilogram pigs.” Journal of animal science vol. 90,7 (2012): 2276-84. doi:10.2527/jas.2011-4454
- Gaines, A M et al. “Estimation of the standardized ileal digestible valine-to-lysine ratio in 13- to 32-kilogram pigs.” Journal of animal science vol. 89,3 (2011): 736-42. doi:10.2527/jas.2010-3134
- For standard rearing conditions, we recommend using LP-based requirements. In harsher environments, CLP or QUAD values may be more appropriate.
- CJ’s recommendations are based on the average of the LP and CLP models, providing a balanced guideline suitable for a wide range of production systems.
Lys : ME Requirement for Finishing pigs (100-135 kg)
Study Result Summary
Lys requirement from Study Result :
- For finishing pigs (100-135 kg), the Lys:ME range for optimal average daily gain (ADG) performance is from 1.848 (min., NRC) to 2.710 (max., CLP & QUAD).
CLP & QUAD
2.710LP
2.196CJ Recommendation
Lys requirement from CJ BIO:
- For the best growth performance in 100-135 kg pigs, CJ BIO recommend 2.453 as the optimal requirement for Lys:ME.
- You may expect a 6.4% improvement in ADG performance compared to when using the NRC requirement.
- Lysine data has been calculated based on both ME and NE values, with units expressed in g/Mcal.
- For standard rearing conditions, we recommend using LP-based requirements. In harsher environments, CLP or QUAD values may be more appropriate.
- CJ’s recommendations are based on the average of the LP and CLP models, providing a balanced guideline suitable for a wide range of production systems.
- Andretta, I. et al. "Precision feeding can significantly reduce lysine intake and nitrogen excretion without compromising the performance of growing pigs." Animal vol. 10, no. 7 (2016): 1137–1147. doi: 10.1017/S1751731115003067
- Becker, L. L. et al. "Effects of standardized ileal digestible lysine on growth performance and economic return in Duroc-sired finishing pigs." Translational Animal Science vol. 6, no. 2 (2022). doi: 10.1093/tas/txac069
- Elsbernd, A. J. et al. "SID lysine requirement of immunologically and physically castrated male pigs during the grower, early and late finisher periods." Journal of Animal Science vol. 95, no. 3 (2017): 1253–1263. doi: 10.2527/jas.2016.0544
- Li, P. et al. "Effects of the standardized ileal digestible lysine to metabolizable energy ratio on performance and carcass characteristics of growing-finishing pigs." Journal of Animal Science and Biotechnology vol. 3, no. 1 (2012): 9. doi: 10.1186/2049-1891-3-9
- Shelton, N. W. et al. "Effects of increasing dietary standardized ileal digestible lysine for gilts grown in a commercial finishing environment." Journal of Animal Science vol. 89, no. 11 (2011): 3587–3595. doi: 10.2527/jas.2010-3030
- Shelton, N. W. et al. "Effects of porcine circovirus type 2 vaccine and increasing standardized ileal digestible lysine:metabolizable energy ratio on growth performance and carcass composition of growing and finishing pigs." Journal of Animal Science vol. 90, no. 1 (2012): 361–372. doi: 10.2527/jas.2011-3870
- Yang, J. et al. "Effects of dietary lysine levels on growth performance, nutrient digestibility, serum metabolites, and carcase and meat quality of Yacha pigs." Italian Journal of Animal Science vol. 21, no. 1 (2022): 1593–1603. doi: 10.1080/1828051X.2022.2123284
Lys : NE Requirement for Finishing pigs (100-135 kg)
Study Result Summary
Lys requirement from Study Result :
- For finishing pigs (100-135 kg), the Lys:NE range for optimal average daily gain (ADG) performance is from 2.465 (min., NRC) to 3.059 (max., QUAD).
QUAD
3.059CLP
2.849LP
2.761CJ Recommendation
Lys requirement from CJ BIO:
- For the best growth performance in 100-135 kg pigs, CJ BIO recommend 2.805 as the optimal requirement for Lys:NE.
- You may expect a 2.5% improvement in ADG performance compared to when using the NRC requirement.
- Lysine data has been calculated based on both ME and NE values, with units expressed in g/Mcal.
- For standard rearing conditions, we recommend using LP-based requirements. In harsher environments, CLP or QUAD values may be more appropriate.
- CJ’s recommendations are based on the average of the LP and CLP models, providing a balanced guideline suitable for a wide range of production systems.
- Andretta, I. et al. "Precision feeding can significantly reduce lysine intake and nitrogen excretion without compromising the performance of growing pigs." Animal vol. 10, no. 7 (2016): 1137–1147. doi: 10.1017/S1751731115003067
- Becker, L. L. et al. "Effects of standardized ileal digestible lysine on growth performance and economic return in Duroc-sired finishing pigs." Translational Animal Science vol. 6, no. 2 (2022). doi: 10.1093/tas/txac069
- Correia, A. et al. "Temporary reduction of digestible lysine in nursery pig diets: performance and economic analysis." Revista Brasileira de Saúde e Produção Animal vol. 23 (2022). doi: 10.1590/s1519-994020222025
- Elsbernd, A. J. et al. "SID lysine requirement of immunologically and physically castrated male pigs during the grower, early and late finisher periods." Journal of Animal Science vol. 95, no. 3 (2017): 1253–1263. doi: 10.2527/jas.2016.0544
- For standard rearing conditions, we recommend using LP-based requirements. In harsher environments, CLP or QUAD values may be more appropriate.
- CJ’s recommendations are based on the average of the LP and CLP models, providing a balanced guideline suitable for a wide range of production systems.
- For standard rearing conditions, we recommend using LP-based requirements. In harsher environments, CLP or QUAD values may be more appropriate.
- CJ’s recommendations are based on the average of the LP and CLP models, providing a balanced guideline suitable for a wide range of production systems.
Trp : SID % Lys Requirement for Finishing pigs (100-135 kg)
Study Result Summary
Trp requirement from Study Result :
- For finishing pigs (100-135 kg), the Trp:SID Lys range for optimal average daily gain (ADG) performance is from 0.148 (min., CLP) to 0.201 (max., QUAD).
QUAD
0.201CLP
0.148LP
0.167CJ
0.157NRC
0.180CJ Recommendation
Trp requirement from CJ BIO:
- For the best growth performance in 100-135 kg pigs, CJ BIO recommend 0.157 as the optimal requirement for Trp:SID Lys.
- You may expect a 69.5% improvement in ADG performance compared to when using the NRC requirement.
Diff. CJ-NRC
Trp:SID Lys ratio -0.023
Growth Perf. 69.5%
- For standard rearing conditions, we recommend using LP-based requirements. In harsher environments, CLP or QUAD values may be more appropriate.
- CJ’s recommendations are based on the average of the LP and CLP models, providing a balanced guideline suitable for a wide range of production systems.
- Kwon, Woong B et al. “Effects of dietary leucine and tryptophan on serotonin metabolism and growth performance of growing pigs.” Journal of animal science vol. 100,1 (2022): skab356. doi:10.1093/jas/skab356
- Tolosa, Andres F et al. “Effects of reducing the standardized ileal digestible lysine and tryptophan to lysine ratio to slow growth of finishing pigs.” Translational animal science vol. 6,2 txac057. 6 May. 2022. doi:10.1093/tas/txac057
- Kerkaert, Hayden R et al. “Improving performance of finishing pigs with added valine, isoleucine, and tryptophan: validating a meta-analysis model.” Journal of animal science vol. 99,1 (2021): skab006. doi:10.1093/jas/skab006
- Liu, Jingbo et al. "The response of performance in grower and finisher pigs to diets formulated to different tryptophan to lysine ratios." Livestock Science vol. 222 (2019): 25-30. doi:10.1016/j.livsci.2019.01.016
- Gonçalves, M A D et al. “Dose-response evaluation of the standardized ileal digestible tryptophan : lysine ratio to maximize growth performance of growing-finishing gilts under commercial conditions.” Animal : an international journal of animal bioscience vol. 12,7 (2018): 1380-1387. doi:10.1017/S1751731117002968
- Yu, D Y et al. “Antibiotic inclusion in the diet did not alter the standardized ileal digestible tryptophan to lysine ratio for growing pigs.” Journal of animal science vol. 95,12 (2017): 5516-5523. doi:10.2527/jas2017.1982
- Shen, Y B et al. "Effects of short term supplementation of l-tryptophan and reducing large neutral amino acid along with l-tryptophan supplementation on growth and stress response in pigs." Animal Feed Science and Technology vol. 207 (2015): 245-252. doi:10.1016/j.anifeedsci.2015.06.020
- Naatijes, Maike et al. "Effect of dietary tryptophan to lysine ratio on growth of young pigs fed wheat–barley or corn based diets." Livestock Science vol. 163 (2014): 102-109. doi:10.1016/j.livsci.2014.02.004
- Quant, A D et al. “Standardized ileal digestible tryptophan-to-lysine ratios in growing pigs fed corn-based and non-corn-based diets.” Journal of animal science vol. 90,4 (2012): 1270-9. doi:10.2527/jas.2011-4537
- Zhang, Guijie et al. "Estimation of the ideal standardized ileal digestible tryptophan to lysine ratio for growing pigs fed low crude protein diets supplemented with crystalline amino acids." Livestock Science vol. 149,3 (2012): 260-266. doi:10.1016/j.livsci.2012.07.024
- Le Floc'h, N et al. “A moderate inflammation caused by the deterioration of housing conditions modifies Trp metabolism but not Trp requirement for growth of post-weaned piglets.” Animal : an international journal of animal bioscience vol. 4,11 (2010): 1891-8. doi:10.1017/S1751731110000236
- Eder, K et al. “Tryptophan requirement of growing pigs at various body weights.” Journal of animal physiology and animal nutrition vol. 87,9-10 (2003): 336-46. doi:10.1046/j.1439-0396.2003.00442.x
Val : SID % Lys Requirement for Finishing pigs (100-135 kg)
Study Result Summary
Val requirement from Study Result :
- For finishing pigs (100-135 kg), the Val:SID Lys range for optimal average daily gain (ADG) performance is from 0.672 (min., NRC) to 0.800 (max., CLP & QUAD).
CLP & QUAD
0.800LP
0.675CJ
0.738NRC
0.672CJ Recommendation
Val requirement from CJ BIO:
- For the best growth performance in 100-135 kg pigs, CJ BIO recommend 0.738 as the optimal requirement for Val:SID Lys.
- You may expect a 4.4% improvement in ADG performance compared to when using the NRC requirement.
Diff. CJ-NRC
Val:SID Lys ratio 0.065
Growth Perf. 4.4%
- For standard rearing conditions, we recommend using LP-based requirements. In harsher environments, CLP or QUAD values may be more appropriate.
- CJ’s recommendations are based on the average of the LP and CLP models, providing a balanced guideline suitable for a wide range of production systems.
- Clizer, David A et al. “Impact of increasing standardized ileal digestible valine: lysine in diets containing 30% dried distiller grains with solubles on growing pig performance.” Journal of animal science vol. 100,9 (2022): skac228. doi:10.1093/jas/skac228
- Kerkaert, Hayden R et al. “Improving performance of finishing pigs with added valine, isoleucine, and tryptophan: validating a meta-analysis model.” Journal of animal science vol. 99,1 (2021): skab006. doi:10.1093/jas/skab006
- Siebert, Diana et al. “The Optimal Valine to Lysine Ratio for Performance Parameters in Weaned Piglets.” Animals : an open access journal from MDPI vol. 11,5 1255. 27 Apr. 2021. doi:10.3390/ani11051255
- Gonçalves, Marcio A D et al. “Standardized ileal digestible valine:lysine dose response effects in 25- to 45-kg pigs under commercial conditions.” Journal of animal science vol. 96,2 (2018): 591-599. doi:10.1093/jas/skx059
- Zhang, Xiaoya et al. “Valine Supplementation in a Reduced Protein Diet Regulates Growth Performance Partially through Modulation of Plasma Amino Acids Profile, Metabolic Responses, Endocrine, and Neural Factors in Piglets.” Journal of agricultural and food chemistry vol. 66,12 (2018): 3161-3168. doi:10.1021/acs.jafc.8b01113
- Liu, X T et al. “Estimation of the standardized ileal digestible valine to lysine ratio required for 25- to 120-kilogram pigs fed low crude protein diets supplemented with crystalline amino acids.” Journal of animal science vol. 93,10 (2015): 4761-73. doi:10.2527/jas.2015-9308
- Waguespack, A M et al. “Valine and isoleucine requirement of 20- to 45-kilogram pigs.” Journal of animal science vol. 90,7 (2012): 2276-84. doi:10.2527/jas.2011-4454
- Gaines, A M et al. “Estimation of the standardized ileal digestible valine-to-lysine ratio in 13- to 32-kilogram pigs.” Journal of animal science vol. 89,3 (2011): 736-42. doi:10.2527/jas.2010-3134
- For standard rearing conditions, we recommend using LP-based requirements. In harsher environments, CLP or QUAD values may be more appropriate.
- CJ’s recommendations are based on the average of the LP and CLP models, providing a balanced guideline suitable for a wide range of production systems.

